Medlem i

13 years 1 month
Indholdselementer
Billede
Sidebar placering
Venstrestillet
Billede
Sidebar placering
Venstrestillet


Introduktion: I 1997 forelå de første meddelelser om synsfeltindskrænkninger med en sandsynlig relation til det antiepileptiske medikament vigabatrin. Formålet med det nærværende arbejde er: 1) at bedømme forekomsten af synsfeltindskrænkning i en uselekteret konsekutiv serie af danske patienter i epilepsibehandling med vigabatrin og 2) at evaluere forskellige gængse synsfelt-screeningsstrategier set i relation til formålet.

Materiale og metoder: Seksogtredive konsekutivt udvalgte patienter i langtidsbehandling med vigabatrin for partiel kompleks epilepsi og henvist i 1999 til øjenklinikken mhp. screening for synsfeltindskrænkninger. Aldersgruppen var 13-67 år. Vigabatrin havde været givet i gennemsnitligt syv år. Ud over rutinevurdering af synsfelter a. m. Donders (for hånd) og ved kampimetri (synsfelt på væg) blev der gjort kugleperimetri med såvel manuel kinetisk Goldmann-teknik som med statisk computerstyret tærskelperimetri (Octopus).

Resultater: Enogtredive af de seksogtredive patienter kunne medvirke ved den kliniske bedømmelse. Ved kugleperimetri forelå synsfeltdefekter hos i alt 80% af de 31 patienter. Hos femten var påvirkningen let, hos syv moderat, og fire havde udtalt konstriktion af synsfeltet. Kinetisk Goldmann-teknik og automatiseret statisk perimetri afdækkede begge de begyndende synsfeltdefekter i periferi, om end i et forskelligt sprog. Ved Goldmann-perimetri noteredes jævne og reproducerbare ydergrænser, mens følsomhedstabene ved automatiseret statisk perimetri forekom mere uregelmæssige i fordeling, og ofte forelå der en reduceret maskinelt defineret samarbejdskvotient.

Diskussion: 80% med afvigende synsfeltfund er blandt de højeste meddelte frekvenser hos vigabatrinbehandlede patienter. En svag sammenhæng med kumuleret vigabatrindosis kunne påvises. Defekter er set allerede efter et års behandling. Hvor klassisk Goldmann-apparatur endnu findes på danske øjenafdelinger, foreslås metoden anvendt som et mindst ligeværdigt alternativ til de af Sundhedsstyrelsen i 1999 anbefalede automatiserede kugleperimetrier. Synsfelt for hånd og kampimetri må anses for utilstrækkelige til de aktuelle screeningsformål. Det må henstilles, at alle med tegn på synsfeltpåvirkning så vidt muligt omstilles til anden antiepileptisk medikation.

Vigabatrin har, siden det blev lanceret i Danmark tidligt i 1980'erne, været et meget benyttet præparat i behandlingen af partiel kompleks epilepsi (1). Hyppigst har det været anvendt til medikamentelt intraktabel epilepsi og er derfor blevet givet i kombination med andre antiepileptika. Vigabatrins selektive hæmning af enzymet GABA-transaminase fører til præsynaptisk ophobning af GABA, som findes udbredt i centralnervesystemet. Det er GABA's hæmmende virkning på neurotransmissionen, som udnyttes i epilepsibehandlingen.

GABA findes også i nethindens amakrinceller, men ud fra det første årtis globale erfaringer synes der ikke at have været synsklager i forbindelse med vigabatrin (2). I et dansk elektrofysiologisk studie af visual evoked response (VEP) hos børn fandt man således ingen ændringer i latens eller amplitude ved VEP foretaget efter fem års behandling med medikamentet (1). Forfatterne konkluderede, at »sammenholdt med MRI-erfaringer forekommer vigabatrin at være et sikkert præparat, endog til børn, hvor centralnervesystemet endnu er under modning«.

Fra 1997 har en række rapporter imidlertid angivet synsfeltindskrænkning som muligt associeret til medikamentet (3-10). Gennemgående har en sådan påvirkning kunnet påvises hos 15-50% af de behandlede patienter med epilepsi, men der er rapporteret frekvenser på op til 73% og 89%. (11, 12). Der er også publiceret holdepunkter for elektroretinografiske ændringer (3, 4, 9, 13, 14). Med en enkelt mulig undtagelse (15) er der trods den øgede opmærksomhed ikke fremkommet tilsvarende meddelelser om anden antiepileptisk medicin givet sammen med vigabatrin.

På den anførte baggrund anbefalede Sundhedsstyrelsen i 1999, at alle danske patienter i vigabatrinbehandling snarest skulle undersøges og følges med halvårsintervaller (16). Sundhedsstyrelsen foreslog automatiseret statisk computerperimetri som bedste metode, med fx Humphreys eller Octopus' apparatur. Med kendskab til et betydeligt antal patienter stod man dermed organisatorisk over for et reelt kapacitetsproblem, idet det drejer sig om patienter, som ikke per rutine har været henvist til øjenlægevurdering.

Erfaringerne fra en opgørelse af 36 konsekutivt udvalgte patienter under vigabatrinbehandling henvist til Rigshospitalets øjenklinik i løbet af 1999 fremlægges med hovedvægten på frekvens og sværhedsgrad af udmålt synsfeltindskrænkning. Organisatoriske aspekter vil derudover blive berørt, specielt med henblik på om Sundhedsstyrelsens mål alternativt ville kunne nås ad en lettere vej.

Materiale og metoder

Aldersfordelingen af de 36 konsekutivt udvalgte patienter, der var henvist til øjenklinikken i 1999 på baggrund af længere tids vigabatrinbehandling var 13-67 år, med 40 år som genemsnitsalder. Behandlingstiden varierede fra tre måneder til fjorten år, gennemsnitligt syv år. Tredive havde fået stoffet i mere end et år. Den kumulerede dosis vigabatrin estimeredes ud fra journalnotater.

Fem patienter måtte udelukkes fra den videre analyse, pga. manglende evne til kooperation ved synsfeltvurdering (hos én patient) eller i forvejen bestående synsfeltpåvirkning (hos fire patienter), som kunne invalidere den aktuelle synsfeltbedømmelse.

For de 31 inkluderede patienter gennemførtes der en fuld øjenundersøgelse med synsudmåling og brillebestemmelse, bedømmelse af øjenmotilitet og pupilforhold, spaltelampevurdering af forreste øjenafsnit, tensionsmåling samt fundusbedømmelse ved oftalmoskopi. Synsfelterne blev bedømt ved de to mest enkle kliniske metoder, dvs. synsfelt for fingerbevægelser (a.m. Donders) og synsfelt på væg (kampimetri med hvid og rødt objekt, med stimulusstørrelse 5 mm som standard). Tillige blev der udført kugleperimetri, dels automatiseret med statisk bedømmelse (Octopus neuroprogram N1), dels som manuel kinetisk Goldmann-undersøgelse (med stort og lille standardobjekt IV,4 og I,4).

Ved de to traditionelle synsfeltmetoder (a.m. Donders og kampimetri) blev svarene på synsfeltvurderingen angivet som normal, suspekt eller abnorm.

Automatperimetrien (Octopus) kunne hos de fleste påvise punkter i periferi og indefter med tærskelændringer i følsomhed i et ofte lidt uregelmæssigt (»mølædt«) mønster. Følsomhedstab alene uden for 30° fra fiksationspunktet kvalificerede til betegnelsen lettere afficeret, mens følsomhedstab også inden for de 30 ° rubriceredes som svær synsfeltpåvirkning.

Ved kinetisk Goldmann-perimetri blev der generelt opnået mere jævne indrykninger af synsfeltydergrænser, med stor praktisk reproducerbarhed i forløbet af den enkelte undersøgelse (retestning i tidligere bedømt meridian) og ved gentagen undersøgelse (kun lille indlæringseffekt). Med hovedvægten lagt på testværdierne omkring horisontalplanet valgte vi under henvisning til erfaringer fra litteraturen (17-20) arbitrært ud fra Fig. 1 at rubricere de individuelt bestemte grænser, som hhv. normale, let påvirkede, med middel påvirkning eller - længst inde - med svær restriktion.

Resultater

Alle 31 patienter havde normalt centralsyn på mindst ét øje. Kun tre ud af i alt 62 øjne så under 6/9, alle med et dovent øje fra barndommen som forklaring. Der var ingen tilfælde af okulær tensionsforhøjelse, og oftalmoskopien var hos alle »normal for alder«.

Ved synsfelt for hånd eller fingerbevægelser, som reelt tester midperiferi/periferi for stort hverdagsobjekt, blev der hos tre patienter påvist sikker synsfeltindskrænkning.

Ved synsfelt på væg (kampimetri) fandtes normale synsfelter hos ti, suspekte hos tolv og klart abnorme ydergrænser hos syv patienter. Metoden er således klart følsommere end synsfelt for hånd, men undersøger kun ud til godt 40° fra fiksationspunktet og fanger ikke de mere perifere udfald. Angivelser tæt på de 40° anses for normalt hos yngre og midaldrende voksne. 25-30° for hvidt objekt blev brugt som skillelinje mellem suspekt og abnormt fund.

De to kugleperimetriske undersøgelser gav overensstemmende resultater. Med Goldmann-perimetrien som den umiddelbart letteste at aflæse og kvantificere fandtes der kun normale forhold hos fem ud af de 31 patienter. 80% havde således abnorme fund: Femten havde let indskrænkning, syv havde medium indskrænkning, og hos fire var der svær konstriktion af ydergænser.

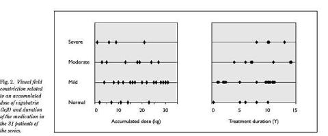
Fig. 2 viser den påviste synsfeltpåvirkning sat i relation til akkumuleret vigabatrindosering og til behandlingsvarighed. Synsfeltpåvirkningen viste statistisk signifikant sammenhæng med den kumulerede dosis (p = 0,035, SAS program, Kendalls tau), mens korrelationen med behandlingsvarighed kun var tæt på (p = 0,056) Det bemærkes, at begyndende synsfeltpåvirkning hos enkelte kunne registreres efter kun et års behandling. Korrelationen til dagsdosis' størrelse var ikke signifikant (p = 0,434, Kendalls tau).

Diskussion

80% med synsfeltpåvirkning hos vigabatrinbehandlede epilepsipatienter er umiddelbart et skræmmende højt tal. Med synsfelt for hånd som den vanlige standard set i relation til hverdagens krav, herunder til førerbevis, måtte dog kun tre paienter anses for at være svært påvirkede. Dette modsvares af fire svært påvirkede ved de kugleperimetriske metoder, og de var også blandt de syv, som ikke klarede kampimetrien tilfredsstillende.

Synsfeltpåvirkning hos 80% er blandt de højest noterede frekvenser i publicerede patientserier, jf. også indledningen. I et norsk materiale screenet med 60 ° statisk automatperimetri, fandtes der 89% med abnorme synsfelter (12).

Den høje frekvens i vor patientserie kan ses i relation til den udstrakte brug af vigabatrin i henhold til dansk behandlertradition over 10-15 år. Dagsdoser mellem 2 g og 4 g over en årrække var ikke usædvanligt i opgørelsen. Hos enkelte var et års behandling nok til, at perifer synsfeltpåvirkning kunne påvises, hvilket svarer til den kumulerede dosis på 1.500 g som andetsteds er angivet som grænseværdi (21). Omvendt fremgår det også af Fig. 2, at kvanta, der er mangefold større, hos et mindretal af patienter har været tålt helt uden synsbanepåvirkning.

Den generelle holdning er nu at undlade at påbegynde behandling med vigabatrin eller at skifte til et andet præparat, hvor det overhovedet er muligt. Ved ingen eller kun minimal synsfeltpåvirkning hos patienter, hvor et erstatningspræparat ikke kan opretholde livskvalitet, synes fortsat medicinering dog at være forsvarlig, forudsat at der foretages løbende synsfeltkontrol. Ved mere fremskreden synsfeltpåvirkning skal seponering af vigabatrin selvsagt forsøges.

Testmetodikker

Det er fastslået, at de vigabatrinrelaterede synsfeltpåvirkninger først påvises perifert. Dette må der altså tages højde for ved de testmetoder, der skal anvendes (5, 10, 11). Synsfelt for hånd tester periferien, men pga. det store stimulus vil man kun afdække de sværeste grader af påvirkning. Ved synsfelt på væg bruges små objekter, men kun ud til 40° fra fiksationspunktet, og metoden er derfor principielt uegnet til screening for begyndende vigabatrinbivirkninger. Det samme gælder statisk automatiseret kugleperimetri, hvis man alene bruger de hyppigst anbefalede standardprogrammer, som afsøger de centrale 30° . Det er 60° -programmerne, der skal afsløre den diagnostisk vigtige tidlige perifere påvirkning. Ved Goldmann-perimetrien starter man helt ude fra og får det fulde synsfelt screenet.

Der er således ingen tvivl om, at synsfeltscreening skal udføres med de metoder, som bedst tilgodeser såvel følsomhed som perifer lokalisation. Det gør de af Sundhedsstyrelsen anbefalede automatperimetrier, når et egnet program anvendes. Det gør også den klassiske Goldmann-perimetri. Apparaturet er imidlertid mange steder erstattet af de moderne computerstyrede maskiner og findes i dag kun på enkelte øjenafdelinger. Vore erfaringer har været positive, hvad angår den manuelle Goldmann-teknik. Undersøgelsen er foretaget af de to involverede øjenlæger, og den varede blot 5-6 minutter. Kompliansen er gennemgående god, og tempoet kan afpasses efter patienten. Automatperimetrien har taget væsentligt længere tid, og godt halvdelen af de 31 patienter i vort materiale havde vanskeligt ved at honorere de programmerede krav (dårlig pålidelighedsfaktor, som aflæst og udskrevet af apparaturet).

Det er således vort indtryk, at Goldmann-perimetri er et fuldgodt alternativ, hvor muligheden for en sådan testning foreligger. Ud fra cost-benefit-betragtninger (sensitivitet, tidsforbrug, komplians) finder vi faktisk metoden optimal, og den anvendes også på specialiserede klinikker i udlandet (6, 15, 22).

Erstatningsspørgsmål

De anførte sværeste synsfeltudfald i serien vil formentlig få erstatningsretlige konsekvenser, men generelle retningslinjer eller koncise grænseværdier er ikke fastlagt. Typisk har de værst ramte patienter klaret sig synsmæssigt pænt i hverdagen, og kun en enkelt har - på direkte forespørgsel - noteret orienteringsbesvær i stormagasiner eller på fortov med mange mennesker. Men der foreligger jo klart en situation, som orienteringsmæssigt kan nærme sig kikkertsyn. Nogle patienter må - alene baseret på synsmæssige kriterier - ikke køre bil, selv om et godt centralsyn og en god læseevne normalt vil være til rådighed. Erstatning ifølge patientforsikringsvilkår synes hos de sværest ramte at være nærliggende.

For de mindre alvorlige grader af maskinelt fastslået synsfeltpåvirkning er synsfelt for hånd typisk fundet normalt, eller tæt på normalt, og patienterne havde ikke synsfeltrelaterede klager i deres hverdag. Erstatning for de påviste mere yderlige tab i synsfeltfølsomhed vil derfor næppe komme på tale, om ellers synsfelterne på også længere sigt holder. Valide meddelelser om langtidsopfølgning foreligger af gode grunde endnu ikke. De fleste forfattere anser indtil videre de vigabatrinrelaterede synsfeltpåvirkninger for irreversible (5, 6, 8, 15, 21). I tilfælde af især lettere synsfelt tab er der dog nu kasuistiske holdepunkter for, at nogen remission kan indtræde efter seponering af vigabatrin (23). En opfølgende status for den pågældende patientguppe er planlagt til belysning af mulig reversibilitet af den toksiske synsfeltpåvirkning.


Hans C. Fledelius, Øjenafdeling E-2061, H:S Rigshospitalet, DK-2100 København Ø. E-mail: rh03217@rh.dk

Antaget den 19. juni 2002.

H:S Rigshospitalet, Øjenafdelingen og Neuromedicinsk Afdeling.




Sidebar placering
Venstrestillet
Article type
Journal
Magazine
Section
References

<ol class="Litt-list">
<li>Uldall P, Alving J, Gram L, Høgenhaven H. Vigabatrin in childhood epilepsy: a 5-year follow-up study. Neuropediatrics 1995;26:253-6.</li>
<li>Chadwick DW, Marson T, Kadir Z. Clinical administration of new antiepileptic drugs: an overview of safety and efficay. Epilepsia 1996;37(suppl 6): S17-22.</li>
<li>Eke T, Talbot J, Lawden MC. Severe persistent visual field constriction associated with vigabatrin. BMJ 1997;314:180-1.</li>
<li>Krauss GL, Johnson MA, Miller N. Vigabatrin-associated retinal cone system dysfunction: electroretinogram and ophthalmologic findings. Neurology 1998;50:614-8.</li>
<li>Daneshvar H, Racette L, Coupland SG, Kertes PJ, Guberman A, Zackon D. Symptomatic and asymptomatic visual loss in patients taking vigabatrin. Ophthalmology 1999;106:1792-8.</li>
<li>Hardus P, Verduin WM, Postma G, Stilma JS, Berendschot TTJM, vanVeelen CWM. Long-term changes in the visual fields of patients with temporal lobe epilepsy using vigabatrin. Brit J Ophthalmol 2000;84:788-907.</li>
<li>Kalviainen R, Nousiainen I, Mantyjärvi M, Nikoskelainen E, Partanen J, Partanen K et al. Vigabatrin, a gabaergic antiepileptic drug, causes concentric visual field defects. Neurology 1999;53:922-6.</li>
<li>Lawden MC, Eke T, Degg C, Harding GF, Wild JM. Visual field defects associated with vigabatrin therapy. J Neurol Neurosurg Psychiat 1999;67:716-22.</li>
<li>Miller NR, Johnson MA, Paul SR, Girkin CA, Perry JD, Endres M et al. Visual dysfunction in patients receiving vigabatrin: clinical and electrophysiologic findings. Neurology 1999;53:2082-7.</li>
<li>Wild JM, Martinez C, Reinshagen G, Harding GF. Characteristics of a unique visual field defect attributed to vigabatrin. Epilepsia 1999;40:1784-94.</li>
<li>Kaykoshrov M, Goodman S, Siviter L, Nightingale S. A controlled study of vigabatrin and visual abnormalities. Brit J Ophthalmol 2000;84:499-504.</li>
<li>Midelfart A, Midelfart E, Brodtkorb E. Visual field defects in patients taking Vigabatrin. Acta Ophthalmol Scand 2000;78:580-4.</li>
<li>Harding GF, Wild JM, Robertson KA, Rietbrock S, Martinez. Separating the retinal electrophysiologic effects of vigabatrin: treatment versus field loss. Neurology 2000;55:347-52.</li>
<li>Coupland SG, Zackon DH, Leonard BC, Ross TM. Vigabatrin effect on inner retinal function. Ophthalmology 2001;108:1493-6.</li>
<li>Malmgren K, Ben-Menachem E, Frisén L. Vigabatrin visual toxicity: evolution and dose dependence. Epilepsia 2001;42:609-15.</li>
<li>Sundhedsstyrelsen. Vejledning om synsfeltsundersøgelse ved behandling med lægemidlet Vigabatrin. Ugeskr Læger 1999;161:4101-2.</li>
<li>Drance SM, Berry V, Hughes A. Studies of the effects of age on the central and peripheral isopters of the visual field in normal subjects. Am J Ophthalmol 1967;63:1667-72.</li>
<li>Egge K. The visual field in normal subjects. Acta Ophthalmol 1984;(suppl 169):1-64.</li>
<li>Gloor B. Untersuchung mit dem Goldmann Perimeter. I: Gloor B, ed. Perimetrie, mit besonderer Berücksichtigung der automatischen Perimetrie. Stuttgart: Ferdinand Enke Verlag, 1993:26-30.</li>
<li>Ritch R. Principles of perimetry. I: Ritch R, Shields MB, Krupin T, eds. The glaucomas. St. Louis: Mosby, 1996:499-504.</li>
<li>Manuchehri K, Goodman S, Siviter L, Nightingale S. A controlled study of vigabatrin and visual abnormalities. Br J Ophthalmol 2000;84:499-505.</li>
<li>Johnson MA, Krauss GL, Miller NR, Medura M, Paul SR. Visual function loss from vigabatrin: effect of stopping the drug. Neurology 2000;55:40-5.</li>
<li>Krakow K, Polizzi G, Riordan-Eva P, Holdr G, McLeod WN, Fish DR. Recovery of visual field constriction following discontinuation of vigabatrin. Seizure 2000;9:287-90.</li>
</ol>

Woodwing Id
246453
Fil
Bib ref
Ugeskr Læger 2003;165(10): 1034-8.
Authors

Per Riise, Hans Callø Fledelius & Bjarke à Rogvi-Hansen

0 likes