Medlem i

13 years 1 month
Indholdselementer
Billede
Sidebar placering
Venstrestillet
Billede
Sidebar placering
Venstrestillet
Billede
Sidebar placering
Venstrestillet
Billede
Sidebar placering
Venstrestillet


Introduktion: Udviklingshæmning er et indgribende, livslangt handikap, der ofte er ledsaget af andre handikap. Formålet med studiet var at bestemme prævalensen af og ætiologien til udviklingshæmning hos børn i Københavns Amt, og at vurdere, hvor ofte børnene henvises til udredning.

Materiale og metoder: Fra en kohorte på 95.400 4-15-årige børn i Københavns Amt blev 1.126 med intelligenskvotient (IQ) ≤ 80 inkluderet, hvilket if. capture-recapture- metoden svarer til 98% af det estimerede antal børn med udviklingshæmning. Børnene blev inkluderet fra pædiatriske afdelinger og fra Pædagogisk Psykologisk Rådgivning (PPR). Tre grupper blev sammenlignet mht. prævalens, ætiologi og forekomst af komplicerende lidelser: IQ ≤ 50 (moderat til svær udviklingshæmning), IQ 51-70 (mild udviklingshæmning) og IQ 71-80 ( borderline- udviklingshæmning).

Resultater: Prævalensen af moderat til svær udviklingshæmning var fire ud af 1.000 børn, prævalensen af mild udviklingshæmning var 4,9 ud af 1.000 børn, og prævalensen af borderline- udviklingshæmning var 2,9 ud af 1.000 børn. I de tre grupper kunne ætiologien bestemmes hos hhv. 67%, 40% og 29% af børnene, årsagen var hyppigst prænatal. Tillægsdiagnoser var til stede hos 52%. I alt 26% af børnene havde aldrig været udredt på en pæ-diatrisk afdeling.

Konklusion: Prævalensen af udviklingshæmning i dette studie er sammenlignelig med prævalensen i studier fra de øvrige nordiske lande, mens ætiologien i lavere grad er fastlagt i dette studie. Ætiologi og komplicerende lidelser kan formodentlig diagnosticeres hos en større del af børnene, hvis niveauet for henvisning og udredning ændres.

Alvorlig udviklingshæmning (intelligenskvotient (IQ) ≤ 50) findes i den vestlige verden hos 3-4 ud af 1.000 børn, mens mild udviklingshæmning (IQ 51-70) findes hos 5-80 ud af 1.000 børn afhængigt af definitioner og geografi [1]. Udviklingshæmninger et indgribende handikap, der kræver samarbejde mellem forskellige faggrupper for at give børnene bedst mulig støtte. Diagnosticering af ætiologien er en vigtig del af denne støtte, men årsagen til børnenes udviklingshæmning er kun afklaret i en del tilfælde, hyppigst hos de sværest retarderede. Årsagerne til mild udviklingshæmning er ofte uafklaret, men omvendt associeret til forældrenes uddannelse og socioøkonomiske status [2]. Der findes fortsat en stor gruppe børn med udviklingshæmning uden en ætiologisk diagnose på trods af udredning, og man kan have mistanke om, at mange aldrig tilbydes en udredning på trods af oplagt udviklingshæmning.

Opdelingen mellem kommunens organisation af psyko-loger og pædagoger (Pædagogisk Psykologisk Rådgivning (PPR)), der tager sig af udviklingsvurdering i skole og institu-tioner, og hospitalsverdenen, der tager sig af medicinske problemstillinger, udredning og udvikling, kan ofte være skarp. I en del tilfælde kender kun den ene part til eksistensen af et barn med særligt behov for støtte eller udredning, og barnet har ikke været set af den anden part.

Formålet med studiet var at bestemme prævalensen af og ætiologien til udviklingshæmning hos børn i Københavns Amt og at diskutere, hvornår børn med forsinket udvikling skal henvises til neuropædiatrisk udredning.

Materiale og metoder
Demografi

Tværsnitsstudiet blev udført i Københavns Amt, der har en population på 618.000, hvoraf 95.400 var i alderen 4-15 år den 1. januar 2003.

Inklusionskriterier

Alder 4-15 år, IQ ≤ 80 og bopæl i Københavns Amt var inklusionskriterierne. Amtets specialskoler for udviklingshæmmede og PPR i 17 af amtets 18 kommuner deltog i inklusionen (PPR i en kommune ønskede ikke at deltage). Data fra Børneneurologisk Center, Pædiatrisk Afdeling, Glostrup Hospital (tidligere Center for Handicappede) blev sammenlignet med data fra PPR og specialskoler. Børneneurocentret blev anvendt som eneste hospitalsafdeling, idet børn med udviklingshæmning henvises hertil til udredning og opfølgning fra amtets øvrige hospitalssystem.

Udviklingshæmning og psykologisk testning

Udviklingshæmning blev i dette studie defineret som IQ ≤ 80, og børnene blev ud fra eksisterende psykologiske undersøgelser delt i tre grupper: 1) IQ ≤ 50 (moderat-sværeste grad af udviklingshæmning), 2) IQ 51-70 (mild udviklingshæmning) og 3) IQ 71-80 ( borderline- udviklingshæmning). Børnenes udviklingshæmning var vurderet på tre måder ud fra det eksisterende materiale: 1) ved IQ-test (Wechsler Intelligence Scale for Children (WISC)/Wechsler Preschool and Primary Scale of Intelligence (WPPSI)), 2) ved udviklingstest (Snijder Omens Intelligence Test, Dansk Evne Prøve, Leiter International Performance Scale, Bender, Raven Standard Progressive Matrices, Griffith Mental Developmental Scales, psychoeducational profile-revised (PEP-R) eller Kuno Beller Developmental Assessment) eller 3) ved placering i IQ-grupperne ud fra evaluering af den psykologiske/psykiatriske rapport i de tilfælde hvor IQ-testning ikke var foretaget.

Udredning

Fund ved magnetisk resonans (MR-skanning computertomografi (CT), elektroencefalografi (EEG), kromosomanalyse og andre neurometaboliske undersøgelser samt konsangvinitet blev registreret.

Ætiologien

Der blev foretaget en opdeling i biologisk ætiologi (prænatal, perinatal, postnatal og ukendt tidspunkt for indtræden af årsagen til udviklingshæmningen) og ukendt ætiologi. Opdelingen er den samme som anvendt i et studie, hvor prævalens og ætiologi hos børn med udviklingshæmning i Norge blev undersøgt [2, 3].

Prænatal ætiologi blev opdelt i genetiske, erhvervede eller ukendte årsager. Genetiske årsager bestod af kromosomale afvigelser, familiær mental retardering, malformationssyndromer og degenerative lidelser. Erhvervede prænatale årsager bestod af udsættelse for toksiske substanser, f.eks. alkohol og prænatale infektioner bekræftet ved TORCH-test ( toxoplasma gondii, other agents, rubella, cytomegalovirus, herpes simplex ). Børn med prænatal ukendt ætiologi var dysmorfe børn med uspecifikke syndromer og børn med neuroradiologisk verificerede cerebrale forandringer, der ikke kunne relateres til peri- eller postnatal ætiologi.

Perinatal ætiologi inkluderede hypoksisk-iskæmisk encefalopati, periventrikulær blødning, verificeret meningitis og/eller sepsis eller neonatale komplikationer hos børn med ekstrem lav fødselsvægt (FV). Ud over den perinatale årsag havde alle neurologiske sequelae f.eks. cerebral parese (CP). Postnatale årsager inkluderede indlysende skadende årsager hos et tidligere raskt barn. Gruppen med biologisk betinget udviklingshæmning af ukendt årsag bestod af børn med autisme eller neurologiske lidelser (epilepsi, cerebral parese (CP) eller hørenedsættelse) af ukendt årsag.

Tillægsdiagnoser

Følgende tillægsdiagnoser blev registreret: CP, epilepsi, svagsynethed inkl. blindhed, nedsat hørelse inkl. døvhed, autisme og attention deficit and hyperkinetic disorder (ADHD).

Statistik

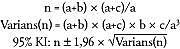
Fordi børnene blev inkluderet fra forskellige kilder (PPR/skoler og Børneafdelingen) blev det sande antal børn med udviklingshæmning estimeret ved hjælp af c apture-recapture- metoden [4, 5]. Metoden er baseret på kendskab til antallet af børn identificeret fra begge kilder (a) og antallet af børn identificeret fra hver enkelt kilde (hhv. b og c). Det totale estimerede antal udregnes efter følgende ligning:

Sidebar placering
Venstrestillet
Billede
Sidebar placering
Venstrestillet

Korrektheden af vurderingerne af graden af udviklingshæmning hos de initialt ikke-IQ-testede børn blev estimeret ved psykologisk retestning af 32 børn (WISC/WPPSI afhængigt af børnenes alder) ved hjælp af κ-statistik (κ W ) [6] og med κ W = 0,69 (95% konfidensinterval (KI): 0,51-0,87) blev metoden anset for at være pålidelig.

Signifikans af forskelle mellem prævalenser i forskellige grupper blev vurderet med χ 2 -test.

Etiske overvejelser

Skriftlig tilladelse blev indhentet fra forældrene, og studiet blev udført i overensstemmelse med Helsinki Deklarationerne og godkendt af Den Videnskabsetiske Komité for Københavns Amt.

Resultater
Prævalens

I alt 1.126 børn blev inkluderet (gennemsnitsalder 10,1 år (standarddeviation (SD): 3,2), 702 drenge og 424 piger). Børnene var fordelt mht. køn og IQ som vist i Tabel 1 . Der var signifikant flere udviklingshæmmede drenge end piger (χ 2 , p < 0,0001). Fra Pædiatrisk Afdeling blev der inkluderet 838 børn (aldersmatchet prævalens: 8,8), mens man fra PPR/specialskoler inkluderede 1.055 børn (aldersmatchet prævalens: 11,1), og 767 blev inkluderet fra begge kilder. Børn med lav IQ var registreret på Pædiatrisk Afdeling i højere grad end de øvrige børn.

Ved hjælp af capture-recapture- metoden blev det sande antal børn med udviklingshæmning estimeret til 1.153 (95% KI: 1.141-1.165), dvs. at 97,7% af børnene var identificeret fra de to kilder. Det estimerede antal børn med udviklingshæmning svarer til en aldersmatchet prævalens på 12,1. Prævalensen af inkluderede børn med IQ ≤ 70 var 8,9 og for børn med IQ ≤ 50 var prævalensen 4 (estimeret sand prævalens hhv. 9 og 4).

Etnicitet

Børnenes forældre stammede i 78,6% af tilfældene fra Norden, 12,3% var fra Mellemøsten, 4,8% fra Asien, 1,7% fra Afrika, 1,3% fra Østeuropa, 0,2% fra Sydamerika og 1,1% var fra andre eller ukendte områder. En signifikant større del af børn af forældre fra Mellemøsten, Asien og Østeuropa var udviklingshæmmede (hhv. 2,3%, 2,5% og 2,1%) end børn af forældre fra Norden (1,1%, χ 2 , p < 0,0001).

Udredning

I alt 651 børn (77,7% af børnene registreret på Pædiatrisk Afdeling) havde fået foretaget en eller flere af de følgende undersøgelser: CT- eller MR-skanning af cerebrum var foretaget hos 390 børn (46,5%), af dem havde 158 en cerebral forandring. EEG var udført hos 274 børn (32,9%), af dem havde 163 epilepsi. Genetisk test var udført hos 457 børn (54,5%), af dem blev en genetisk diagnose verificeret hos 160, yderligere 12 børn havde en genetisk betinget tilstand verificeret ved andre test. Lysosomale enzymer og urinmetabolisk screening var undersøgt hos i alt 239 børn (33,2%, hhv. 85 børn (10,3%) og 221 børn (26,8%)), af dem havde 17 en metabolisk sygdom. Signifikant flere børn med lav end med høj IQ havde fået foretaget undersøgelser (IQ ≤ 50: 87,5%, IQ 51-70: 73%, IQ 71-80: 63,9%, χ 2 , p < 0,0001). Konsangvinitet var til stede i 9,9% af tilfældene, hyppigst hos børn med IQ ≤ 50 (χ 2 , p = 0,01).

Ætiologi

Ætiologien var fordelt som i Tabel 2 . En forklarende diagnose kunne findes hos 49,6% af børnene (hos 66,9% blandt børn med IQ ≤ 50; hos 39,7% blandt børn med IQ 51-70; og hos 29,2% blandt børn med IQ 71-80).

Tillægsdiagnoser

Der blev fundet tillægsdiagnoser hos i alt 439 (52,4%) af de pædiatrisk vurderede børn (Tabel 3 ); 137 havde CP, og 163 havde/havde haft epilepsi. Svagsynethed inkl. blindhed blev fundet hos 93 og nedsat hørelse inkl. døvhed blev fundet hos 32. Alle diagnoser blev fundet med størst hyppighed hos børn med lav IQ (χ 2 , p < 0,0001 i alle tilfælde). Autisme var diagnosticeret hos 146 uden signifikant forskel mellem IQ-grupperne (χ 2 , p = 0,13), ADHD var diagnosticeret hos 71 hyppigst hos de bedst fungerende børn (χ 2 , p = 0,003). Autisme og ADHD var diagnosticeret af en børnepsykiater.

Blandt de 439 børn, der havde en tillægsdiagnose, havde 242 (55%) en ætiologisk diagnose, i modsætning til 174 (44%) blandt børn, der ikke havde en tillægsdiagnose (χ2 , p = 0,0009).

I gruppen med IQ ≤ 50 havde 167 svagsynethed, nedsat hørelse, ADHD eller autisme, heraf havde 111 (66%) desuden en kendt ætiologisk diagnose. For børn med IQ 51-70 var det tilsvarende antal 27 ud af 92 (29%), og for børn med IQ 71-80 fandtes en ætiologisk diagnose hos ti af de 43 (23%) med en af ovenstående tillægsdiagnoser. Blandt børn, der ikke var vurderet på børneafdelingen (288) havde 25 en eller flere af de ovenstående tillægsdiagnoser.

Blandt børn, der var vurderet på Pædiatrisk Afdeling, havde 152 lav FV (< 2.500 g) eller lav gestationsalder (GA ≤ 36 uger), af dem havde 117 (77%) en ætiologisk diagnose i modsætning til 299 (44%) af dem, der havde normal FV og GA (χ2 , p < 0,0001). Blandt børn, der ikke var vurderet på Pædiatrisk Afdeling, havde 30 enten lav FV eller lav GA.

Diskussion

I denne artikel belyses fire emner vedrørende udviklingshæmning hos børn: prævalens, ætiologi, komorbiditet og udredning. I Københavns Amt er der en alderssammensætning og en socioøkonomisk sammensætning, der er sammenlignelig med sammensætningen i det øvrige Danmark, dog er forekomsten af ikkeetniske danskere højere e nd i resten af landet (11,9% vs. 8%), og amtet er overvejende et storbyområde. Amtet rummer 11,5% af populationen i Danmark (1. jan. 2003) og er til dette studie vurderet at være repræsentativt for hele landet på trods af afvigelserne [7].

I studiet blev to inklusionskilder anvendt. I studiet af Strømme & Valvatne blev der ud over inklusion fra PPR og Pædiatrisk Afdeling desuden anvendt inklusion fra børnepsykiatrisk center og kromosomregistre [3]. Dette var ikke muligt i vores studie, men capture-recapture- analysen viste, at 98% af børn med udviklingshæmning fra amtet var inkluderede.

Prævalensen af identificerede børn med IQ ≤ 80 var 11,8, mens prævalensen for IQ ≤ 70 var 8,9, og prævalensen for IQ ≤ 50 var 4. I andre studier ligger prævalensen af IQ ≤ 70 på 6,2-13,8, mens prævalensen af IQ ≤ 50 ligger på 2,9-6,3 (Tabel 4 ). Resultaterne fra Københavns Amt er således på niveau med resultaterne i de øvrige studier.

Blandt forældre til børn med udviklingshæmning stammede signifikant flere end ventet fra Mellemøsten, Asien og Østeuropa. Dette bekræftes af studiet af Hoffmann et al fra 2003, hvor børn med indvandrerbaggrund var overrepræsenterede blandt børn med udviklingshæmning i Københavns Amt i forhold til børn med dansk baggrund [13], og det kan således give en lille risiko for overestimering af prævalensen i hele landet.

På Pædiatrisk Afdeling havde man som forventet bedst kendskab til børn med IQ ≤ 50, dog havde 7,3% af disse aldrig været tilknyttet Pædiatrisk Afdeling, og i alt havde 25,6% aldrig været vurderet på Pædiatrisk Afdeling. Blandt børn tilknyttet Pædiatrisk Afdeling havde 22% ikke fået foretaget udredende undersøgelser (12% hos gruppen med IQ ≤ 50). Hos en del af disse børn ville en ætiologi formentlig kunne findes ved udredning.

Ætiologien til børnenes udviklingshæmning blev opdelt efter samme model som anvendt af Strømme & Magnus [2]. Ved hjælp af denne kunne en ætiologi bestemmes hos 50% af de børn, der var blevet vurderet på Pædiatrisk Afdeling: En prænatal årsag fandtes hos 41%, en perinatal hos 7% og en postnatal hos 2%, mens en ukendt biologisk årsag fandtes hos 16% og en ukendt årsag hos 34%. For børn med IQ ≤ 70 var de tilsvarende tal 46%, 6%, 2%, 16% og 30%. Til sammenligning fandt Strømme & Magnus blandt 178 børn med IQ ≤ 70 en prænatal ætiologi hos 60%, en perinatal hos 3%, en postnatal hos 3%, en ukendt biologisk årsag hos 14% og en ukendt årsag hos 20% [2]. I andre studier er en biologisk ætiologi til udviklingshæmning fundet hos 68-77% [9, 14, 15]. Den høje andel med sikker ætiologi kan i vores studie kun genfindes blandt børn med IQ ≤ 50. Forskellen kan skyldes en lavere grad af udredning. I det norske studie, var der foretaget en skanning hos 80% og genetisk testning hos 93%, i dette studie er tallene henholdsvis 47% og 55%. Som ventet lykkedes det hyppigst i begge studier at fastlægge en ætiologi hos børn med moderat til svær udviklingshæmning.

Diskussionen om, hvornår børn, hos hvem man har mistanke om forsinket udvikling, skal henvises til udredende undersøgelser på Pædiatrisk Afdeling, skal ses i lyset af følgende: 50% af de udredte børn havde en ætiologisk diagnose, og 52% havde en eller flere tillægsdiagnoser. Skanning viste cerebrale forandringer hos 41%, og genetisk testning gav en ætiologisk forklaring hos 35%. En ætiologisk diagnose var hyppigst forekommende ved IQ ≤ 50, ved tilstedeværelsen af en tillægsdiagnose og ved præmaturitet/lav FV. De ikkeudredte var hyppigst børn med borderline- udviklingshæmning, men også i denne gruppe var forekomsten af ætiologiske diagnoser og tillægsdiagnoser høj (hos hhv. 28% og 52% af børnene).

I studiet af Strømme & Valvatne blev de børn, der ikke tid-ligere var vurderet på en pædiatrisk afdeling, undersøgt og udredt med genetisk testning, CT/MR-skanning og screening for metaboliske lidelser. Deres lave grad af ukendt ætiologi burde tilsvarende kunne opnås blandt danske børn ved samme grad af udredning.

Den ætiologiske diagnose er vigtig for at målrette behandling og undervisningstilbud til barnets behov, for at kunne udtale sig om prognose, lave prænatal diagnostik og rådgivning og give bedre hjælp til familien og barnet via det sociale system.

Vi mener derfor, at niveauet for henvisning til neuropæ-diatrisk undersøgelse af et barn med forsinket udvikling bør revideres: Alle børn, hos hvem man har mistanke om udviklingshæmning bør vurderes/udredes af en neuropædiater, med henblik på at der stilles en ætiologisk diagnose.


Lisbeth Sandfeld Nielsen, Øjenafdelingen, Glostrup Hospital, DK-2600 Glostrup. E-mail: l.sandfeld@dadlnet.dk

Antaget: 13. november 2006

Interessekonflikter: Studiet var støttet af Lundbeck Fonden, Dansk Blindesamfund og Øjenfonden, Øjenforeningen Værn om Synet, Dagmar Marshalls Fond, Elsass Fonden, Forskningsfonden for Københavns Amt, Landsforeningen LEV, Hjalmar Westerdahls Fond, og Mette Warburg Fonden.


  1. Leonard H, Wen X. The epidemiology of mental retardation: Challenges and opportunities in the new millenium. Ment Retard Dev Disabil Res Rev 2002; 8:117-34.
  2. Strømme P, Magnus P. Correlations between socioeconomic status, IQ and aetiology in mental retardation: a population-based study of Norwegian children. Soc Psychiatry Psychiatr
Sidebar placering
Venstrestillet
Article type
Journal
Magazine
Section
References

<ol class="Litt-list">
<li>Leonard H, Wen X. The epidemiology of mental retardation: Challenges and opportunities in the new millenium. Ment Retard Dev Disabil Res Rev 2002; 8:117-34.</li>
<li>Strømme P, Magnus P. Correlations between socioeconomic status, IQ and aetiology in mental retardation: a population-based study of Norwegian children. Soc Psychiatry Psychiatr Epidemiol 2000;35:12-8.</li>
<li>Strømme P, Valvatne K. Mental retardation in Norway: prevalence and subclassification in a cohort of 30037 children born between 1980 and 1985. Acta Paediatr 1998;87:291-6.</li>
<li>Bishop YMM, Fienberg SE, Holland PW. Estimating the size of a closed population. Discrete Multivariate Analysis - Theory and Practice. London: The MIT Press, 1975:229-56.</li>
<li>Campbell H, Holmes E, MacDonald S et al. A Capture-recapture model to estimate prevalence of children born in Scotland with developmental eye defects. J Cancer Epidemiol Prev 2002;7:21-8.</li>
<li>Landis JR, Koch GG. An application of hierachical kappa-type statistics in the assessment of majority agreement among multiple observers. Biometrics 1977;33:363-74.</li>
<li>Danmarks Statistik S. Folketal. 2006. www.statistikbanken.dk.</li&gt;
<li>Benassi G, Guarine M, Cammarata S et al. An epidemiological study on severe mental retardation among schoolchildren in Bologna, Italy. Dev Med Child Neurol 1990;32:895-901.</li>
<li>Wellesley DG, Hockey KA, Montgomery PD et al. Prevalence of intellectual handicap in Western Australia: a community study. Med J Aust 1992;156: 94-102.</li>
<li>Matilainen R, Airaksinen E, Mononen T et al. A population-based study of mild and severe mental retardation. Acta Paediatr 1995;261-6.</li>
<li>Steffenburg U, Hagberg G, Viggedal G et al. Active epilepsy in mentally retarded children. I. Prevalence and additional neuroimpairments. Acta Paediatr 1995;84:1147-52.</li>
<li>Murphy CC, Yeargrin-Allsopp M, Decouflé P et al. The administrative prevalence of mental retardation in 10-year-old children in Atlanta, 1985 through 1987. Am J Public Health 1995;85:319-23.</li>
<li>Hoffmann AL, Baekgard P, Beck B et al. Årsager til mental retardering hos børn med indvandrerbaggrund. Ugeskr Læger 2002;165:42-6.</li>
<li>Fernell E. Aetiological factors and prevalence of severe mental retardation in children in a Swedish municipality: the possible role of consanguinity. Dev Med Child Neurol 1998;40:608-11.</li>
<li>Hou JW, Wang TR, Chuang SM. An epidemiological and aetiological study of children with intellectual disability in Taiwan. J Intellect Disabil Res 1998; 42:137-43.</li>
</ol>

Woodwing Id
242105
Fil
Bib ref
Ugeskr Læger 2007;169(23):2211-2215
Authors

Læge Lisbeth Sandfeld Nielsen, overlæge Hanne Jensen & overlæge Liselotte Skov Glostrup Hospital, Øjenafdelingen

0 likes