Medlem i

12 years 10 months
Indholdselementer

Da Guinea-Bissau blev selvstændigt i 1974, var Sverige landets største donor. Simple analyser af antallet af børn i forskellige aldersgrupper tydede på, at 50% døde, før de blev fem år gamle. Som det kan ses i Figur 1, var det også den dødelighed, vi observerede i det første år. På det tidspunkt vidste alle, at »underernæring« var den væsentligste årsag til høj børnedødelighed. Derfor finansierede Sverige i 1978 et etårigt studie for at finde årsagerne til underernæringen i Guinea-Bissau. Dette projekt blev starten på Bandim Health Project (BHP).

Sidebar placering
Venstrestillet
Billede
Sidebar placering
Venstrestillet

Da vi lavede den første befolkningsundersøgelse af ernæringsstatus i Bandim, et distrikt i hovedstaden, var det derfor en stor overraskelse, at der næsten ikke var alvorligt underernærede børn. Alle børn blev ammet til toårsalderen, og de afveg kun lidt fra den internationale standard for vægt/alder. Kort efter undersøgelsen udbrød en mæslingeepidemi, og 21% af de børn, som fik mæslinger, døde. I modstrid med den gængse opfattelse kunne vi påvise, at der ikke var forskel i ernæringsstatus for børn, som døde, og dem, som overlevede mæslingeinfektionen [1].

Sidebar placering
Venstrestillet
Billede
Sidebar placering
Venstrestillet

Der var faktisk aldrig nogen, der havde påvist den formodede sammenhæng mellem underernæring og høj dødelighed af mæslinger [2]. Vores data tydede på, at den egentlig årsag til høj dødelighed var smitteintensiteten. Dødeligheden var lav for børn, der var smittet uden for hjemmet. Derimod var den meget høj for sekundærtilfælde, der var smittet i hjemmet, ofte ved at sove i samme seng som det første tilfælde [3]. I Bandim var 70% sekundærtilfælde, fordi familierne var meget store pga. udvidede familier og polygami. Senere studier viste, at smitteintensiteten også var afgørende, da mæslinger var forbundet med høj dødelighed i Europa for 100 år siden [2]. Smitteintensiteten var også afgørende for alvorligheden af andre almindelige børnesygdomme, såsom skoldkopper, kighoste [4] og polio [5].

INTRODUKTION AF VACCINER

I 1978 var der ikke et fungerende vaccinationsprogram i Guinea-Bissau. Efter epidemien lykkedes det os at fremskaffe en mæslingevaccine (MV), som blev administreret i en kampagne til børn i alderen 6-60 måneder i den første genundersøgelse efter et år. Det kan ses i Figur 1, at dødeligheden faldt meget i det følgende år.
Vi kunne efterfølgende påvise, at dødeligheden var lav blandt de mæslingevaccinerede, men fortsat var høj blandt dem, som ikke var blevet mæslingevaccinerede, f.eks. fordi de var bortrejst på kampagnetidspunktet [6]. Denne effekt kunne ikke forklares med beskyttelse mod mæslinger.

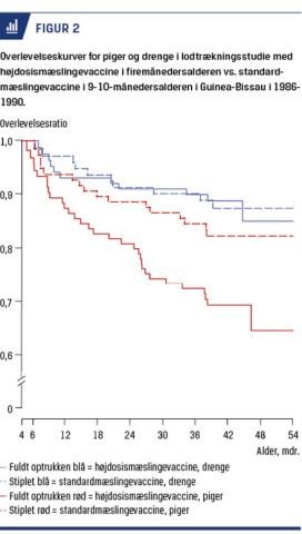
Det førte til, at MV blev BHP’s fokusområde. Blandt andet testede vi i flere lodtrækningsstudier i Guinea-Bissau og Senegal, om vi kunne sænke dødeligheden yderligere med en ny højdosis-MV (HDMV), der kunne gives i 4-5-månedersalderen, tidligere end den normale MV [7]. Det modsatte skete: HDMV var forbundet med højere dødelighed. Selv om HDMV beskyttede mod mæslinger, havde børn, der havde fået HDMV i firemånedersalderen, højere dødelighed i de næste 4-5 år end børn, som havde fået almindelige MV i 9-10-månedersalderen. Men mest overraskende var det, at den negative effekt af HDMV kun blev fundet hos piger [8]. Effekten var den samme i Guinea-Bissau (Figur 2) og Senegal. I 1989, mens disse studier pågik, anbefalede WHO at give HDMV til alle børn i lavindkomstlande.
I 1992, da amerikanske forskere bekræftede observationerne på Haiti, trak WHO anbefalingen af HDMV tilbage [8].

Sidebar placering
Venstrestillet
Billede
Sidebar placering
Venstrestillet

Lodtrækningsstudierne med HDMV viste utvetydigt, at vacciner kunne have effekter på dødeligheden, som ikke kunne forklares med beskyttelsen mod målsygdommen. Disse såkaldte uspecifikke effekter kunne være positive, som for almindelige MV [9], men også negative, som for HDMV [8]. Da HDMV blev trukket tilbage i 1992, var der ingen forklaring på, hvordan en beskyttende vaccine kunne være forbundet med højere dødelighed. Udfordringen i at forstå omfanget af og mekanismerne bag de uspecifikke effekter blev ledetråden for BHP’s forskning gennem de næste 25 år.

STUDIER AF USPECIFIKKE EFFEKTER AF VACCINER

Vi har systematisk studeret alle børnevacciners effekt på dødeligheden, for at se, om de afveg fra den forventede effekt pga. beskyttelsen mod målsygdommen. Om muligt har vi forsøgt at lave lodtrækningsstudier. Det kan dog være vanskeligt, fordi det betragtes som uetisk at teste en anbefalet vaccine, hvis det betyder, at nogle ikke får vaccinen. I vore lodtrækningsstudier har vi derfor ikke sammenlignet vaccine vs. ingen vaccine, men effekten af at give en anbefalet vaccine tidligere end normalt mod effekten af at give den på det anbefalede tidspunkt.

Disse studier har ført til flere konsistente mønstre. De fire levende vacciner, som vi har undersøgt, har alle gavnlige uspecifikke effekter. Vores lodtrækningsstudier med MV, bacille Calmette-Guérin (BCG) og oral poliovaccine (OPV) har vist, at reduktionen i dødelighed pga. de uspecifikke effekter er langt vigtigere end reduktionen pga. beskyttelse mod målsygdommen [10-12] (Tabel 1).

Sidebar placering
Venstrestillet
Billede
Sidebar placering
Venstrestillet

Som illustreret i Figur 1, faldt den generelle dødelighed markant, da MV blev introduceret i 1979, da BCG blev introduceret i 1984, da MV blevet givet tidligere i begyndelsen af 1990’erne, og da kampagnerne med OPV og MV blev påbegyndt i 1999-2000.

For MV og BCG har den gavnlige effekt været stærkere hos piger end hos drenge [10, 11]. Derimod tyder de fleste OPV-studier på en bedre effekt hos drenge end hos piger [12]. BCG-studierne har vist, at de børn, som har reageret på vaccinen med et BCG-ar eller en tuberkulinreaktion, har langt bedre overlevelse end de BCG-vaccinerede, som ikke har reageret på vaccinen [13].

I de seneste ti år har flere immunologer forsøgt at finde biologiske forklaringer på de uspecifikke effekter, mest i relation til BCG. BCG træner tilsyneladende det innate immunsystem gennem epigenetiske og metaboliske ændringer [14]. Dette fører til et stærkere proinflammatorisk immunsvar, som kan reducere risikoen eller alvorligheden af andre infektioner. For nylig har vi i et eksperiment påvist, at unge voksne, som fik BCG fire uger før en challenge-infektion med gul feber-vaccination, havde mindre gul feber-viræmi, end voksne, der fik placebo før gul feber-vaccination. Dette var medieret via BCG-inducerede epigenetiske ændringer i monocytterne. Dette er første proof of concept på, at en vaccine kan ændre forløbet af en ikkemålinfektion, i dette tilfælde at en bakteriel vaccine kunne ændre forløbet af en viral infektion [15].

I kontrast til de levende vacciner har det desværre vist sig, at de ikkelevende vacciner, som vi har undersøgt, er forbundet med højere pige- end drengedødelighed. Dette er unaturligt, da der var den samme eller let lavere pigedødelighed, før vacciner blev introduceret i Afrika [16]. Hvor det har været muligt at sammenligne med en kontrolgruppe, har DTP-vaccinerede børn haft to gange højere dødelighed end ikke-DTP-vaccinerede børn [17]. Det kan ses i Figur 1, at dødeligheden steg, da DTP blev introduceret i 1981 [18], da revaccination med DTP blev indført i 1986-1987 og da hepatitis B-vaccine blev benyttet i 1997.

Hvor de levende vacciner træner det innate immunsystem, kan ikkelevende vacciner inducere innat tolerans, og gøre monocytterne mindre aktive, når de møder andre infektioner [19]. Der er dog ingen forklaring på, hvorfor denne effekt skulle være stærkere hos piger end hos drenge.

Den kønsdifferentielle effekt af DTP gav forklaring på, hvorfor den levende HDMV var forbundet med højere dødelighed end standard-MV i 9-10-månedersalderen. HDMV blev givet allerede i 4-5-månedersalderen, og næsten alle børn fik en ikkelevende DTP efter MV. Den samme sekvens var mindre almindelig blandt kontrolbørn, som fik den normale MV i 9-10-månedersalderen. Da DTP er forbundet med højere pigedødelighed, forklarede denne forskel i sekvens hele forskellen i pigers og drenges dødelighed i HDMV-studierne [8, 20] (Figur 2). DTP var det reelle underliggende problem, ikke HDMV.

UDRYDDELSE OG VACCINEEFFEKTER

En interessant konsekvens af uspecifikke effekter er, at man uden at vide det kan komme til gøre mere skade end gavn. Hvis en levende vaccine har gavnlige uspecifikke effekter, og man stopper vaccinen, når sygdommen er udryddet eller ikke længere er en risiko, vil det forhindre mange i et få gavnlig immuntræning. I Danmark har man stoppet brugen af tre levende vacciner (koppevaccine, BCG og OPV) uden at have undersøgt, hvad konsekvensen kunne være. Da vi først blev klar over, at vaccinestop kunne have negative konsekvenser, gav vi os til at undersøge voksne i Guinea-Bissau for koppevaccine- og BCG-ar (Figur 3). I både det urbane og det rural område, som BHP har fulgt, var koppevaccinen forbundet med en langt kraftigere gavnlig effekt, end vi havde drømt om [21]. Kontrolleret for andre faktorer havde koppevaccinerede 40% lavere dødelighed end ikkekoppe- og BCG-vaccinerede personer. Vi tog denne observation tilbage til Danmark, hvor vi vha. skolehelbredskortene i København kunne få information om børns vaccinationsstatus i 1970’erne, da både koppevaccinen og BCG blev udfaset. Vha. danske registre kunne alle følges. Kontrolleret for andre faktorer, var koppevaccine og/eller BCG forbundet med 43% (95% konfidens-interval (KI): 19-60%) lavere dødelighed af naturlige dødsårsager mellem skolestart og 45-årsalderen end ingen vaccine [22].

Sidebar placering
Venstrestillet
Billede
Sidebar placering
Venstrestillet

UDRYDDELSE AF POLIO: EN PYRRHUSSEJR?

Verdenssamfundet har i de seneste 20-25 år været i gang med at udrydde polio og nu også mæslinger. Hvad sker der, når vi holder op med at give de levende vacciner mod polio og mæslinger? Hvad der er sket i
lavindkomstlandene i de seneste 20 år, giver nok et fingerpeg om det. De fleste lande har haft flere årlige OPV-kampagner og MV-kampagne hvert 3-4. år. Bortset fra BHP har ingen undersøgt effekten af disse kampagner på dødeligheden. Vaccinerne formodes ikke længere at have en effekt på dødeligheden, fordi polio er forsvundet, og der er meget lidt mæslinger tilbage.

I de seneste 20 år er der sket et stort fald i dødelighed (Figur 1). 1998 var et borgerkrigsår med høj dødelighed, fordi de fleste måtte flygte ud af hovedstaden og leve under kummerlige forhold. Sundhedssektoren brød sammen, og halvdelen af lægerne flygtede ud af landet. Ikke desto mindre faldt børnedødeligheden meget kraftigt i den efterfølgende periode.

BHP følger hele populationen, og det er derfor muligt at se, hvad der sker med dødelighedsraten efter kampagner med OPV eller MV. For 2002-2014, hvor der var 14 OPV-kampagner, har vi kunnet påvise, at
dødelighedsraten, kontrolleret for sæson, tidstrend og andre kampagner, faldt med 19% (95% KI: 5-32%)
efter OPV-kampagner [23]. Andre kampagner med A-vitamin- og influenzavaccine havde ikke tilsvarende effekter. Studier i Ghana og Burkina Faso har også viste stort fald i dødelighedsraten efter OPV-kampagner [24, 25]. Den gavnlige effekt stiger for hver ekstra OPV-dosis, som børnene har fået.

Der har været langt færre kampagner med MV, men vore studier tyder også på et fald på 20% eller mere i dødelighedsraten efter MV-kampagner [26, 27].

Polio bliver formentlig udryddet i 2018, og al OPV skal så erstattes med den ikkelevende poliovaccine. Om 10-15 år vil det samme scenario formentlig gentage sig, når mæslinger er blevet udryddet, og man vil stoppe brug af levende MV. Hvad sker der så? Det ved vi ikke sikkert, for ingen har undersøgt det. Men erfaringen fra Guinea-Bissau tyder på, at når brug af levende vacciner stoppes, vil der komme en stigning i dødeligheden.

KONKLUSION

Den generelle erfaring fra udviklingen i Guinea-Bissau er, at dødeligheden er faldet, når nye levende vacciner blev indført, når levende vacciner blev givet tidligere
i livet, eller når de levende vacciner blev gentaget i kampagner. Derimod er dødeligheden steget, når ikkelevende vacciner er blevet indført eller er blevet
givet efter de levende vacciner.

Den nuværende tendens i lavindkomstlandene er at indføre flere ikkelevende vacciner, såsom malariavaccinen, meningitisvaccinen og ekstradoser af DTP [28]. Hvis de levende vacciner samtidig forsvinder, tyder alle data på, at børnedødeligheden vil stige i de fattigste lande, hvor der ikke er en markant forbedring i sundhedssystemet.

Korrespondance: Peter Aaby. E-mail: p.aaby@bandim.org

Antaget: 8. august 2018

Publiceret på Ugeskriftet.dk: 29. oktober 2018

Interessekonflikter: ingen. Forfatternes ICMJE-formularer er tilgængelige sammen med artiklen på Ugeskriftet.dk

Sidebar placering
Venstrestillet
Article type
Journal
Magazine
Section
References

LITTERATUR

  1. Aaby P, Bukh J, Lisse IM et al. Measles mortality, state of nutrition, and family structure: a community study from Guinea Bissau. J Infect Dis 1983;147:693 701.

  2. Aaby P. Malnourished or overinfected. Dan Med Bull 1989;36:93 113.

  3. Aaby P, Bukh J, Lisse IM et al. Overcrowding and intensive exposure as determinants of measles mortality. Am J Epidemiol 1984;120:49 63.

  4. Nielsen NM, Hedegaard K, Aaby P. Intensity of exposure and severity of whooping cough. J Infect 2001;43:177-81.

  5. Nielsen NM, Aaby P, Wohlfahrt J et al. Intensive exposure as a risk factor for severe polio: a study of multiple family cases. Scan J Inf Dis 2001;33:301-5.

  6. Aaby P, Bukh J, Lisse IM et al. Measles vaccination and reduction in child mortality: a community study from Guinea Bissau. J Infect 1984;8:13 21.

  7. Aaby P, Jensen TG, Hansen HL et al. Trial of high dose Edmonston Zagreb measles vaccine in Guinea Bissau: protective efficacy. Lancet 1988;2:809 11.

  8. Aaby P, Jensen H, Samb B et al. Differences in female-male mortality after high-titre measles vaccine and association with subsequent vaccination with diphtheria-tetanus-pertussis and inactivated poliovirus: re-analysis of West African studies. Lancet 2003;361:2183-8.

  9. Aaby P, Samb B, Simondon F et al. Non-specific beneficial effect of measles immunisation: analysis of mortality studies from developing countries. BMJ 1995;311:481-5.

  10. Aaby P, Martins CL, Garly ML et al. Non-specific effects of standard measles vaccine at 4.5 and 9 months of age on childhood mortality: randomised controlled trial. BMJ 2010;341:c6495.

  11. Biering-Sørensen S, Aaby P, Lund N et al. Early BCG and neonatal mortality among low-birth-weight infants: a randomised controlled trial. Clin Inf Dis 2017;65:1183-90.

  12. Lund N, Andersen A, Hansen AS et al. The effect of oral polio vaccine at birth on infant mortality: a randomized trial. Clin Infect Dis 2015;61:1504-11.

  13. Storgaard L, Rodrigues A, Martins C et al. Development of BCG scar and subsequent morbidity and mortality in rural Guinea-Bissau. Clin Infect Dis 2015;61:950-9.

  14. Benn CS, Netea MG, Selin LK et al. A small jab – a big effect: nonspecific immunomodulation by vaccines. Trends Immunol 2013;34:431-9.

  15. Arts RJW, Moorlag SJCFM, Novakovic B et al. BCG vaccination protects against experimental viral infection in humans through the induction of cytokines associated with trained immunity. Cell Host Microbe 2018;23:89-100.e5.

  16. Aaby P, Benn CS, Nielsen J et al. Testing the hypothesis that diphtheria-tetanus-pertussis vaccine has negative non-specific and sex-differential effects on child survival in high-mortality countries. BMJ Open 2012;2:e000707.

  17. Aaby P, Ravn H, Benn CS. The WHO review of the possible nonspecific effects of diphtheria-tetanus-pertussis vaccine. Pediatr Infect Dis J 2016;35:1247-57.

  18. Aaby P, Mogensen SW, Andersen A et al. The introduction of diphtheria-tetanus-pertussis vaccine to older children in an urban African community: a natural experiment. Front Public Health 2018;6:79.

  19. Leentjens J, Kox M, Stokman R et al. BCG vaccination enhances the immunogenicity of subsequent influenza vaccination in healthy volunteers: a randomized, placebo-controlled pilot study. J Infect Dis 2015;212:1930-8.

  20. Aaby P, Ravn H, Benn CS et al. Randomized trials comparing inactivated vaccine after medium- or high-titer measles vaccine with standard titer measles vaccine after inactivated vaccine: a meta-analysis. Pediatr Infect Dis J 2016;35:1232-41.

  21. Aaby P, Gustafson P, Roth A et al. Vaccinia scars associated with better survival for adults. Vaccine 2006;24:5718-25.

  22. Rieckmann A, Villumsen M, Sørup S et al. Vaccinations against smallpox and tuberculosis are associated with better long-term survival: a Danish case-cohort study 1971-2010. Int J Epidemiol 2017;46:695-705.

  23. Andersen A, Fisker AB, Rodrigues A et al. National immunization campaigns with oral polio vaccine reduce all-cause mortality: a natural experiment within seven randomized trials. Front Public Health 2018;6:13.

  24. Welaga P, Oduro A, Debpuur C et al. Fewer out-of-sequence vaccinations and reduction of child mortality in Northern Ghana. Vaccine 2017;35:2496-503.

  25. Schoeps A, Nebié E, Fisker AB et al. No effect of an additional early dose of measles vaccine on hospitalization or mortality in children: a randomized controlled trial. Vaccine 2018;36:1965-71.

  26. Fisker AB, Rodrigues A, Martins C et al. Reduced all-cause child mortality
    after general measles vaccination campaign in rural Guinea-Bissau. Pediatr Infect Dis J 2015;34:1369-76.

  27. Byberg S, Thysen SM, Rodrigues A et al. A general measles vaccination campaign in urban Guinea-Bissau: comparing child mortality among participants and non-participants. Vaccine 2017;35:33-9.

  28. Meeting of the Strategic Advisory Group of Experts on Immunization, April 2016 – conclusions and recommendations. Wkly Epidemiol Rec 2016;91:266-84.

Woodwing Id
1
Fil
Conflict of interest
English summary

Peter Aaby & Christine Stabell Benn:

Child mortality for children under five years of age declined seven fold in Guinea-Bissau over the latest 40 years

Ugeskr Læger 2018;180:V07180470

Observations on child mortality in Guinea-Bissau developed the idea of vaccines having non-specific effects (NSEs) not being explained by the prevention of the targeted infections. The live vaccines against measles, tuberculosis, polio and smallpox have beneficial NSEs, but the inactivated vaccines are associated with negative effects for female survival. The repeated campaigns with polio and measles vaccines have been particularly effective in reducing child mortality. Hence, stopping live vaccines after eradication could have negative consequences for child survival.

Authors workplaces
1) Bandim Health Project, Indepth Network, Guinea-Bissau2) Bandim Health Project,
Statens Serum Institut3) Odense Patient data Explorative Network, Klinisk Institut, Syddansk Universitet

Ugeskr Læger 2018;180:V07180470
Bib ref
Ugeskr Læger 2018;180:V07180470
Article number
V07180470
Authors

Peter Aaby1, 2 & Christine Stabell Benn2, 3

0 likes