Medlem i

12 years 10 months
Indholdselementer
Billede
Sidebar placering
Venstrestillet
Billede
Sidebar placering
Venstrestillet
Billede
Sidebar placering
Venstrestillet


Introduktion: Den stigende forekomst af fedme og fedmerelaterede følgesygdomme i den voksne danske befolkning medvirker til en forøgelse af det resursemæssige pres på sundhedsvæsnet. Opgørelser over de økonomiske omkostninger forbundet med fedme på danske sygehusafdelinger udtrykker en væsentlig del af den økonomiske byrde af fedme og bidrager til præmisserne for sundhedspolitiske overvejelser og tiltag på fedmeområdet.

Materiale og metoder: Ud fra studier af fedmeprævalensen i den voksne danske befolkning og estimater for sygdomsrisikoen blandt svært overvægtige beregnedes antallet (samt følsomhedsinterval) af fedmerelaterede sygehuskontakter i 2003. På baggrund af resultaterne af disse beregninger og behandlingstaksterne for de identificerede diagnosegrupper beregnedes omkostninger forbundet med behandling af fedme og fedmerelaterede følgesygdomme på danske somatiske sygehusafdelinger.

Resultater: Antallet af fedmerelaterede kontakter med danske somatiske sygehuse var i 2003 omkring 177.703. Omkostningerne forbundet med disse fedmerelaterede kontakter beløb sig til 1.024 mio.kr. (minimumsværdi: 663 mio. kr.; maksimumsværdi: 1.299 mio.kr.) svarende til 2,8% (minimumsværdi: 1,8%; maksimumsværdi: 3,6%) af de danske somatiske sygehuses driftsomkostninger.

Konklusion: Resultaterne af denne analyse stemmer overens med resultater fra tilsvarende analyser i de europæiske lande, som vi normalt sammenligner os med. De sundhedsøkonomiske omkostninger forbundet med fedme afhænger i vid udstrækning af forekomsten af svær overvægt og må som følge heraf forventes at øges i takt med fedmeepidemiens udbredelse i Danmark.

Den stigende forekomst af fedme i den danske befolkning kombineret med forøget morbiditet blandt svært overvægtige udgør et stadigt stigende pres på det danske sygehusvæsen. Samtidig er sygehusenes økonomiske resurser ikke uendelige. Kvantitative estimater for de gennemsnitsomkostninger, der er relateret til forebyggelse og behandling af fedme og fedmerelaterede følgesygdomme udtrykker den sygehusøkonomiske byrde ved fedme. Hvis fedme ikke fandtes, ville marginalomkostningerne ved behandling bortfalde. Marginalomkostningerne vil være mindre end de her beregnede gennemsnitsomkostninger, som omfatter en række mere eller mindre faste omkostninger, som ikke varierer med behandlingsaktiviteten.

En beregning af de samfundsmæssige omkostninger forbundet med fedme (cost of illness (COI))-analyse tager udgangspunkt i bestemmelse af de direkte omkostninger, de indirekte omkostninger og de uhåndgribelige omkostninger [1]. De direkte omkostninger forbundet med fedme og fedmerelaterede følgesygdomme er omkostninger til sundhedsydelser relateret til forebyggelse og behandling. Dette er omkostninger på sygehusene, i den primære sundhedssektor og på det kommunale område til pleje og hjælpemidler mv. De direkte omkostninger inkluderer også udgifter til medicin og patientens egne udgifter i forbindelse med vægttabsprogrammer, transport til sundhedsfaciliteter mv. De indirekte omkostninger knytter sig til faktorer som nedsat produktivitet, produktionstab i forbindelse med sygefravær og førtidigt arbejdsophør. Disse omkostninger inkluderer også patientens egne udgifter i form af tabt fritid mv. De uhåndgribelige omkostninger er vanskelige at værdisætte, da de omfatter forhold som nedsat socialt selvværd, social isolation, angst, depression, reduceret livskvalitet mv.

Dødeligheden blandt svært overvægtige er højere end blandt normalvægtige, og der eksisterer en j-formet sammenhæng mellem stigende body mass index (BMI) og tabte leveår. Særligt blandt yngre voksne begrænser fedme den forventede levetid markant [2]. Fedme øger tillige sygeligheden, hvilket øger efterspørgslen efter sundhedsydelser, herunder indlæggelser, ambulante behandlinger og receptpligtig medicin [3]. Den øgede efterspørgsel betyder, at de samlede udgifter til sundhedsydelser stiger. Ud over den forøgede dødelighed er svært overvægtige hyppigere langtidssyge, hvilket påvirker såvel de direkte som de indirekte omkostninger [4]. I et svensk studie skønnede man, at ca. 10% af de totale udgifter forbundet med kvinders sygefravær og førtidspensionering er relateret til fedme og de fedmerelaterede følgesygdomme [5].

I Danmark er der ikke tidligere foretaget egentlige analyser af de direkte omkostninger forbundet med fedme. Sundhedsstyrelsen offentliggjorde i 2003 et skøn over, hvor stor en andel af de samlede sundhedsudgifter der anvendes på overvægtsrelaterede sygdomme. Dette skøn, der er baseret på udenlandske analyser, er på 4-8% [6]. For at give et kvalificeret bud på meromkostningerne forbundet med forebyggelse og behandling af fedme og fedmerelaterede følgesygdomme foretages der i det følgende en egentlig beregning af de meromkostninger, der er forbundet med fedme og fedmerelaterede følgesygdomme på danske somatiske sygehusafdelinger.

Materialer og metoder

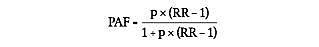
En prævalensbaseret COI-analyse af de direkte omkostninger forbundet med behandling af fedme og fedmerelaterede følgesygdomme på danske somatiske sygehusafdelinger blev gennemført. Ved en prævalensbaseret COI-analyse foretages en tværsnitsberegning af omkostningerne relateret til fedme i et givent år, i modsætning til ved en incidensbaseret analyse, hvor man kvantificerer livstidsomkostningerne for den svært overvægtige. Denne beregning tog udgangspunkt i en vurdering af, hvor stor en andel af kontakter fordelt på diagnoserelaterede grupper der kan tilskrives fedme. Antallet af kontakter estimeredes ved beregning af population attributable fraction (PAF). PAF angiver den reduktion i antallet af sygehuskontakter, som teoretisk ville kunne opnås, hvis der ingen fede var i befolkningen. Det er i denne sammenhæng væsentligt at pointere, at denne reduktion ikke kan opnås ved implementering af en succesfuld vægtreduktionsstrategi. Dette skyldes, at det ikke kan forventes, at forbruget af sundhedsydelser vil falde til normalniveauet, da en række følgesygdomme ikke elimineres helt. PAF kan angives som en fraktion eller som procent.

Sidebar placering
Venstrestillet
Billede
Sidebar placering
Venstrestillet

p = prævalensen af fedme i den voksne del af befolkningen. RR = den relative risiko for udvikling af følgesygdommen hos fede.


I analysen inkluderedes diagnosegrupper, hvor der er videnskabelig evidens for en stærk sammenhæng med fedme. De specifikke diagnosegrupper identificeredes ud fra det danske system for diagnoserelaterede grupper (DRG). De inkluderede DRG'er var: type-2 diabetes, polycystisk ovariesyndrom, fedme, hypertension, blodprop, angina pectoris, akut myokardieinfarkt, hjertesvigt, hjertestop, apopleksi, hjerneinfarkt, åreforkalkning, galdevejslidelser, urinsyregigt, slidgigt i hofter og knæ og cancer i tyktarm, bryst, prostata, livmoderhule, spiserør og nyre. For de to sidstnævnte blev der konstrueret et særligt datasæt ud fra cancerregisteret, således at der udelukkende blev foretaget udtræk af antallet af kontakter relateret til adenokarcinomer. For hver identificeret DRG bestemtes antallet af henholdsvis stationære og ambulante kontakter med danske somatiske sygehusafdelinger i 2003. Den gennemsnitlige takst for de respektive DRG'er dannede grundlag for beregning af omkostninger forbundet med behandling. Endvidere beregnedes, hvor stor en andel af de samlede sygehusudgifter der blev anvendt til forebyggelse og behandling af fedme og fedmerelaterede følgesygdomme på danske somatiske sygehusafdelinger. Kun omkostninger forbundet med svær overvægt (BMI ≥30) og ikke til moderat overvægt (25 ≤BMI < 30) inkluderedes i beregningerne. Det skyldes, at mildere grader af kroniske sygdomme relateret til moderat overvægt, såsom hypertension, hyperkolesterolæmi og diabetes, i begrænset omfang behandles inden for sygehusvæsenet, men særligt monitoreres inden for den primære sundhedssektor.

Resultater

På baggrund af eksisterende danske undersøgelser af fedmeforekomsten [7] vurderedes prævalensen af fedme at være 18%. PAF-estimaterne og grænseværdierne beregnes ud fra WHO's estimater for RR [8] med enkelte justeringer [6, 9, 10] og fremgår af Tabel 1. Minimum- og maksimumgrænseværdierne for PAF beregnedes ud fra de mindste og de største estimater af RR for den respektive diagnosegruppe. Der er en del variation i, hvor stor en andel af sygdomstilfældene i DRG-grupperne der kan tilskrives fedme. For eksempel er fedme den bagvedliggende årsag til over halvdelen af tilfældene af type 2-diabetes, mens kun 8,3% af cancertilfældene kan tilskrives fedme (Tabel 1).

For de udvalgte diagnoserelaterede grupper blev antallet af kontakter relateret til disse grupper fundet ved hjælp af Sundhedsstyrelsens patientregistrering. Antallet af kontakter, der kan tilskrives fedme, med danske somatiske sygehusafdelinger i 2003 er beregnet ud fra PAF-værdierne og det samlede antal kontakter fordelt på DRG i 2003 og ses i Tabel 2. Som det fremgår af Tabel 2, kunne omkring 177.703 kontakter med danske somatiske sygehusafdelinger i 2003 tilskrives svær overvægt. Ud fra vores beregninger lå størstedelen (155.840) af disse kontakter inden for det ambulante område, og herunder var en stor del (73.655) relateret til type 2-diabetes. Blandt de stationære kontakter var majoriteten (12.251) relateret til hjerte-kar-sygdom (Tabel 2).

Da der er fastsat et følsomhedsinterval ved beregning af PAF, kan der også beregnes flere estimater for antallet af kontakter, som kan tilskrives fedme. Disse fremgår af Tabel 3. Ud fra disse estimater og de gennemsnitlige DRG-priser for de respektive diagnosegrupper beregnedes omkostninger forbundet med behandling af fedme og fedmerelaterede følgesygdomme. Som det fremgår af Tabel 3 udgjorde omkostningerne i 2003 omkring 1.024 mio. kr. (minimumsværdi: 662 mio. kr.; maksimumsværdi: 1.299 mio. kr.). Dette beløb svarer til 2,8% (minimumsværdi: 1,8%; maksimumsværdi: 3,6%) af sygehusenes tilrettede drifts- og anlægsudgifter i 2003 (Tabel 3).

Diskussion

Fedme udgør en væsentlig folkesundhedsmæssig byrde for det danske samfund. Ud over at påvirke funktionsevnen og livskvaliteten hos de berørte personer er fedme i høj grad forbundet med øget sygelighed og risiko for tidlig død. På samfundsniveau medfører den stigende forekomst af fedme et økonomisk øget pres på sundhedsvæsenet. I dette studie beregnes for første gang omkostningerne forbundet med fedme på danske somatiske sygehusafdelinger. Det vurderes, at disse omkostninger i 2003 udgjorde omkring 2,8% (1,8-3,6%) af sygehusenes samlede driftsudgifter. Med forsigtighed kan dette tolkes som rimelig overensstemmelse med resultater fra lignende studier i sammenlignelige europæiske lande, hvor omkostningsniveauet estimeres at ligge på 1-2%, men af de samlede sundhedsudgifter [10-17].

Det prævalensestimat for fedmeforekomsten i Danmark, der ligger til grund for beregningerne, er fra 2003. Dette estimat er baseret på målte data for højde og vægt. Anvendelse af selvrapporterede data ville øge usikkerheden af estimatet, idet der er konstateret en tendens til, at såvel mænd som kvinder overestimerer deres højde, og at kvinder underestimerer deres vægt [18]. Da højde og vægt danner grundlag for udregning af BMI, ville anvendelse af selvrapporterede data bidrage til en underestimering af prævalensen af fedme i befolkningen.

I modsætning til i en del udenlandske studier [13, 14, 16] er nærværende omkostningsberegning baseret på et landsdækkende register og ikke på selvrapporteret forbrug af sundhedsydelser eller ydelsesforbrug i en subpopulation. De danske DRG-takster er beregnede, gennemsnitlige udgifter relateret til diagnosegruppe. Ved beregning af omkostninger forbundet med behandling af svært overvægtige må det forventes, at disse patienter ligger i den tunge ende udgiftsmæssigt i forhold til den gennemsnitlige patient, og at de faktiske omkostninger reelt er højere for denne patientgruppe.

Vores beregning af omkostningerne forbundet med svær overvægt må derfor betragtes som værende konservativ. Dette skyldes endvidere, at der er ekskluderet en række følgesygdomme, såsom søvnapnø samt hormon- og fertilitetsforstyrrelser, fordi disse var relativt svagt associeret med svær overvægt. Estimaterne for den forhøjede risiko for udvikling af følgesygdomme hos svært overvægtige i forhold til hos normalvægtige må desuden betragtes som værende konservative. I analysen for type 2-diabetes er der f.eks. for RR anvendt et estimat på 3-12, men i visse studier estimerer man, at den forhøjede risiko for type 2-diabetes kan være op til 40 gange større hos overvægtige end hos normalvægtige [10]. Beregningerne påvirkes endvidere af, om alderskorrigerede estimater for RR anvendes, idet risikoen for udvikling af en række af de fedmerelaterede følgesygdomme uafhængigt af fedme er positivt associeret med alder.

Omkostningsberegningen inkluderer udelukkende direkte omkostninger på somatiske sygehuse. Der er derved ikke foretaget beregninger af omkostninger inden for den primære sundhedssektor og det psykiatriske område. Ved fortolkning af analysens resultater må der tages højde for, at behandling af nogle af de væsentligste fedmerelaterede sygdomme, som forhøjet blodtryk, type 2-diabetes og fedme i sig selv hovedsageligt foregår i den primære sundhedssektor. Der er i analysen tillige ikke foretaget estimeringer af indirekte og uhåndgribelige omkostninger.

Derudover er der i analysen ikke foretaget beregninger af de økonomiske konsekvenser forbundet med den del af befolkningen, som kan klassificeres som moderat overvægtige (BMI 25-29,9). Denne befolkningsgruppe har ligeledes en forhøjet risiko for udvikling af følgesygdomme i forhold til normalvægtige. Moderat overvægt er et udbredt fænomen i befolkningen, idet op til 40% af danske mænd og 26% af danske kvinder allerede i 1993 var moderat overvægtige [19]. Den markante forekomst af moderat overvægt må ligeledes forventes at udgøre en betragtelig økonomisk byrde for det danske sundhedsvæsen. Derudover udgør bugfedme et væsentligt folkesundhedsproblem, idet taljeomkreds uafhængigt af BMI er associeret med forhøjet dødelighed [20].

Der er en række spørgsmål, som den gennemførte analyse ikke giver svar på. Der eksisterer i øjeblikket meget begrænset viden om omfanget af meromkostninger inden for den primære sundhedssektor. Endvidere er den videnskabelige evidens for langtidseffektiviteten af forskellige behandlingsformer mangelfuld. Dette vanskeliggør gennemførelse af omkostningseffektivitetsanalyser, som er et særdeles vigtigt redskab i tilrettelæggelsen af forebyggelses- og behandlingstiltag samt for de sundhedspolitiske prioriteringer.

Det må forventes, at den stigende prævalens af fedme vil påvirke omkostningsniveauet på danske sygehuse. Stigningen i fedmeforekomsten påvirker derudover også omkostningsniveauet på en række andre områder. Inden for sygesikringsområdet vil den stigende prævalens potentielt influere på antallet af kontakter hos praktiserende læger og på udgifter til medicintilskud.


Ann Louise Worre-Jensen, Institut for Sygdomsforebyggelse, Øster Søgade 18, 1., DK-1357 København K. E-mail: awj@ipm.regionh.dk

Antaget: 29. september 2006

Interessekonflikter: Ingen angivet

Taksigelser: Forfatterne takker personalet i Indenrigs- og Sundhedsministeriets Sundhedsdokumentation for hjælp og støtte i forbindelse med at indhente data for diagnoserelaterede grupper samt gennemførsel af de økonomiske beregninger.





Sidebar placering
Venstrestillet
Article type
Journal
Magazine
Section
References

<ol class="Litt-list">
<li>Pedersen KM, Worre-Jensen AL. Adipositas og sundhedsøkonomi. Ugeskr Læger 2006;168:196-201.</li>
<li>Fontaine KR, Redden DT, Wang C et al. Years of life lost due to obesity. JAMA 2003;289:187-93.</li>
<li>Heithoff KA, Cuffel BJ, Kennedy S et al. The association between body mass and health care expenditures. Clin Ther 1997;19:811-20.</li>
<li>Quesenberry CP Jr, Caan B, Jacobson A. Obesity, health services use, and health care costs among members of a health maintenance organization. Arch Intern Med 1998;158:466-72.</li>
<li>Narbro K, Jonsson E, Larsson B et al. Economic consequences of sick-leave and early retirement in obese Swedish women. Int J Obes Relat Metab Disord 1996;20:895-903.</li>
<li>Sundhedsstyrelsen, Center for Forebyggelse. Oplæg til national handlingsplan mod svær overvægt. København: Sundhedsstyrelsen, 2003.</li>
<li>Jørgensen ME, Glumer C, Bjerregaard P et al. Obesity and central fat pattern among Greenland Inuit and a general population of Denmark (Inter99): relationship to metabolic risk factors. Int J Obes Relat Metab Disord 2003;27: 1507-15.</li>
<li>Obesity: preventing and managing the global epidemic. World Health Organ Tech Rep Ser 2000;894:1-253.</li>
<li>Ernæringsrådet. Den danske fedmeepidemi. Søborg: Ernæringsrådet, 2002.</li>
<li>Statens beredning för medicinsk utvärdering. Fetma - problem och åtgärder. Stockholm: Statens beredning för medicinsk utvärdering, 2002.</li>
<li>Avenell A, Broom J, Brown TJ et al. Systematic review of the long-term effects and economic consequences of treatments for obesity and implications for health improvement. Health Technol Assess 2004;8:1-182.</li>
<li>Birmingham CL, Muller JL, Palepu A et al. The cost of obesity in Canada. CMAJ 1999;160:483-8.</li>
<li>Colditz GA. Economic costs of obesity and inactivity. Med Sci Sports Exerc 1999;31:663-7.</li>
<li>Levy E, Levy P, Le Pen C et al. The economic cost of obesity: the French situation. Int J Obes Relat Metab Disord 1995;19:788-92.</li>
<li>Segal L, Carter R, Zimmet P. The cost of obesity: the Australian perspective. Pharmacoeconomics 1994;5:45-52.</li>
<li>Seidell JC. The impact of obesity on health status: some implications for health care costs. Int J Obes Relat Metab Disord 1995;19:13-6.</li>
<li>Swinburn B, Ashton T, Gillespie J et al. Health care costs of obesity in New Zealand. Int J Obes Relat Metab Disord 1997;21:891-6.</li>
<li>Bostrom G, Diderichsen F. Socioeconomic differentials in misclassification of height, weight and body mass index based on questionnaire data. Int J Epidemiol 1997;26:860-6.</li>
<li>Heitmann BL. Ten-year trends in overweight and obesity among Danish men and women aged 30-60 years. Int J Obes Relat Metab Disord 2000;24:1347-52.</li>
<li>Bigaard J, Tjonneland A, Thomsen BL et al. Waist circumference, BMI, smoking, and mortality in middle-aged men and women. Obes Res 2003;11:895-903.</li>
</ol>

Woodwing Id
256316
Fil
English summary

Summary The cost of obesity on the Danish health care system Ugeskr L&aelig;ger 2007;169(33):2634-2637 Introduction: The prevalence of obesity and obesity-related co-morbidities in the Danish adult population is continuously rising and demands on the Danish health care system are consequently increasing. Quantitative measures of the economic costs related to obesity constitute a necessary basis for the organization of treatments, health promotion and for health policies. Materials and methods: On the basis of studies of the prevalence of obesity in the Danish adult population and estimates of the increased risk of co-morbidity among obese, the number (and a sensitivity-interval) of hospital contacts in 2003 was calculated. Based on the results of these calculations and on treatment rates for the identified diagnosis-groups, the costs related to the treatment of obesity and obesity-related co-morbidities were estimated. Results: In 2003 177,703 hospital contacts in Denmark were related to obesity. The costs related to these contacts summed up to i 137.3 mill. (i 88.8-174.0 mill.), corresponding to 2.8% (1.8-3.6%) of the running costs at Danish hospitals. Conclusion: The results of this analysis are equivalent to the results from similar analyses from other European countries with comparable health care systems. The health-economic costs related to obesity in Denmark depend on the prevalence of obesity and as a consequence are expected to rise as the current obesity epidemic further develops.

Bib ref
Ugeskr Læger 2007;169(33):2634-2637
Authors

Cand.scient.san.publ. Ann Louise Worre-Jensen, cand.polit. Nicolaj Bjørn Jensen, adj. professor Berit L. Heitmann & professor Thorkild I.A. Sørensen Københavns Universitetshospital, Institut for Sygdomsforebyggelse og Enheden for Epidemiologisk Kostforskning

0 likes
Read time
13