Medlem i

12 years 10 months
Indholdselementer
Billede
Sidebar placering
Venstrestillet
Billede
Sidebar placering
Venstrestillet
Billede
Sidebar placering
Venstrestillet
Billede
Sidebar placering
Venstrestillet
Billede
Sidebar placering
Venstrestillet


Strategien for peroperativ væskebehandling er ikke klar, måske fordi det har været vanskeligt at monitorere det centrale blodvolumen (CBV). De kardiovaskulære reaktioner ved hypovolæmi bliver gennemgået med vægt på den ofte lave hjertefrekvens, som udvikles, når CBV er reduceret ca. 30%. Det foreslås, at normovolæmi defineres som det CBV, der ikke begrænser hjertets minutvolumen, og muligheder for at følge ændringer i CBV bliver vurderet. Det konkluderes, at ændringer i CBV kan monitoreres non-invasivt og med stor præcision ved hjælp af torakal elektrisk impedans under både eksperimentelle og kliniske forhold. Ved at vedligeholde CBV sikres hjernens oxygenering selv under omfattende blødning.

.

Perioperativ væskebehandling synes at være generøs (1). Det implicitte mål er at vedligeholde blodvolumenet eller at balancere det centrale blodvolumen (CBV), og med et præoperativt volumendeficit på 1,8 l (2) kan et betydeligt overskud være berettiget. Desuden kan anæstesi, lejring og tab til »tredje rum« (fx tarm, peritoneum og blødning i muskler) påvirke CBV, men der er flere problemer. Bestemmelsen af CBV afhænger af den metode, som anvendes; metoderne er ikke udviklet til monitorering, og det er uklart, hvordan et »normalt« blodvolumen eller CBV defineres.

Hypovolæmisk shock

Den stående stilling indebærer en vis reduktion af CBV. Ved et mindre fald i CBV opretholdes blodtrykket ved perifer vasokonstriktion, men en reduktion på ca. 30% udløser hypotension ved bortfald af den sympatiske tonus til musklernes kar (3), og hjertefrekvensen påvirkes af en øget vagustonus også under blødning (4-6) (Fig. 1). Først hvis patienten overlever denne fase, provokerer en fortsat reduktion af CBV den takykardi, som ofte associeres med hypovolæmisk shock (5). Ved iskæmisk smerte (7) og ileus (8) dominerer sympatisk aktivitet dog påvirkningen af hjertet, ligesom en vasovagal synkope kan brydes med muskelaktivitet (9).

Med baggrund i den arterielle barorefleks antages det ofte, at hjertefrekvensen stiger, når blodtrykket falder, men hjertefrekvens og blodtryk ændres som regel parallelt. De arterielle baroreceptorer fastholder den aktuelle hjertefrekvens og blodtryk, men de er uden selvstændig betydning (de »resættes« til det aktuelle blodtryk; Fig. 2). Hjertefrekvensen integreres af impulser fra centralnervesystemet balanceret af reflekser af den centrale cirkulation og fra fx hud og muskler med samtidig påvirkning fra humorale faktorer.

Selv en mindre reduktion af CBV kan aktivere en Bezold-Jarish-refleks (11) med risiko for hjerte- (og respirations) stop (12). Alligevel er tilstanden umiddelbart reversibel ved ekspansion af CBV. Derimod betyder takykardi ved blødning overgang til et irreversibelt shock, hvis et volumendeficit har bestået i længere tid (5).

Det centrale blodvolumen

Ændringer i det totale blodvolumen kan måles med kuliltes binding til hæmoglobin, men det er ikke altid blodvolumenet, der begrænser CBV. Således reduceres CBV ved stillingsændringer, og tilsvarende nedsætter fx epidural- og spinalanæstesi CBV (13), hvis ikke benene eleveres og/eller administration af væske eller sympatomimetika understøtter kredsløbet.

Den klassiske bestemmelse af CBV har en dimension i tiden. CBV omfatter blodet centralt for et venøst kateter og den del af arteriesystemet, der ligger inden for den tid, det tager for blodet at nå et arteriekateter. CBV kan også bestemmes med fx technetium-mærkede blodlegemer og registrering af tælletallet over lunger og hjerte. Endelig kan CBV beregnes som et kapillært blodvolumen under bestemmelse af lungernes diffusionskapacitet.

Med ekkokardiografi angives hjertets preload som ventriklernes diastoliske fyldning, og en transøsofageal adgang tillader peroperativ monitorering. Ved ekkokardiografi vurderes de to ventrikler separat, men det er en begrænsning, at fyldningen umiddelbart bedømmes visuelt.

Centrale tryk

Centrale tryk tages ofte som udtryk for CBV. Venetrykket repræsenterer fyldningen af højre ventrikel, mens indkilingstrykket i a. pulmonalis angiver fyldningstrykket til venstre atrium. Relationerne mellem tryk og volumen er dog ukendte, og i længde-spændings-diagrammet er det den diastoliske fyldning, der er af betydning for CO (Starlings hjertelov).

Under blødningsforsøg på grise (14) og når mennesker udsættes for lower body negative pressure (LBNP), er der en sammenhæng mellem CO og det centrale venetryk (15, 16). I andre situationer går denne sammenhæng tabt. Under vipning med hovedet opad (head-up tilt, HUT) er der ingen sammenhæng mellem CO og det centrale venetryk (17-19), og hos patienter er CO uafhængig af centrale tryk, selv om der er en nøje sammenhæng mellem CO og hjertets fyldning (20). Central volumenekspansion kan medføre en kun midlertidig stigning i det centrale venetryk (21), og under kontrolleret ventilation er høje centrale tryk udtryk for et lille CBV.

Normovolæmi

Når et for lille CBV kan udløse et hypovolæmisk shock, og rigelig administration af væske kan medføre, at patienten bliver ødematøs, må der eksistere et volumen, der er almindeligt eller normalt. Blodvolumenet afhænger af køn, størrelse, alder og fysisk aktivitet, og en gennemsnitlig værdi vil være af begrænset interesse for vurdering af den enkelte patient.

Hos septiske patienter på mekanisk ventilation kan CBV normaliseres ud fra de respiratoriske svingninger i det systoliske blodtryk (22). Mere alment kan normovolæmi defineres som det CBV, der ikke begrænser CO (23) eller den venøse iltsaturation (SvO2 ) (Fig. 3), og i liggende stilling er CO ikke begrænset af CBV.

Elektrisk impedans

Voluminer bedømmes ved deres ledningsevne, og elektrisk impedans (EI) kan bestemmes for kroppen som helhed og for separate regioner. Med frekvenser over 1 kHz har huden ingen indflydelse, og målingen kan derfor gennemføres non-invasivt med ekg-elektroder. Med 1-10 kHz vurderes det ekstracellulære volumen, da cellemembranen er isolerende. Højere frekvenser trænger i stigende grad ind i cellerne og bedømmer total body water. Ændringer i det intracellulære rum ang ives som forskellen mellem vævets totale ledningsevne (fx ved 100 kHz) og for det ekstracellulære rum (ved fx 1,5 kHz), også selv om der ikke tages hensyn til strømmens fasevinkel (16, 19, 24).

Placeres elektroderne på hånd og fod, bestemmes væskeindholdet for kroppen som helhed, men med det lille tværsnit af arme og ben er modstanden domineret af ekstremiteterne (24). Med en placering af elektroderne på højre side af halsen og højt i venstre aksil vurderes de centrale kar og hjertet. Den torakale impedans (TI) stiger under inspirationen, fordi det relative væskeindhold reduceres, og CBV er udtrykt ved integration over tid (16, 19, 24).

Elektrisk impedans og CBV

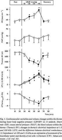
Under HUT stiger TI, samtidig med at CBV falder (25). Omvendt falder EI over benene. For venetrykket ligger det punkt, hvor der ikke indtræder en ændring under stillings-ændringer (indifferenspunktet), tæt på diaphragma, men for volumen er det placeret på niveau med bækkenet (26). Under LBNP reduceres CBV ved at venerne udspiles, når benene pålægges et vakuum, og TI følger et faldende indhold af blod i hjerte og lunger (Fig. 4). Også efter fysisk arbejde forskydes blodvolumenet fra thorax til de tidligere arbejdende muskler (27), lungernes kapillære blodvolumen mindskes (28), og TI stiger.

Atrielt natriuretisk peptid (ANP) frigøres fra højre atrium, og et ekspanderet blodvolumen afspejles i nedbrydningsprodukter med længere halveringstid end (alfa-)ANP (29). Under HUT medfører et mindre CBV, at plasma-ANP er reduceret, og stigningen i TI varierer med ANP i a. pulmonalis (18). Tilsvarende falder plasma-ANP under LBNP (16) og efter arbejde (27), samtidig med at TI stiger.

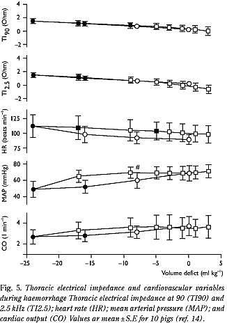
Ved blødning og efterfølgende reinfusion på grise følger TI ændringerne i blodvolumenet med r-værdier på 0,9-1,0 (14), og i modsætning til kredsløbsvariable har TI samme forløb under reinfusion af blodet som under blødning (Fig. 5). Tilsvarende kan TI, men ikke kredsløbsvariable, følge den perioperative væskebalance (30, 31), og den regionale EI kan registrere omfordelingen af blodet under opvarmning og afkøling (24).

TI bestemmes af det torakale indhold af væske, mens det er det intravaskulære volumen, der er af betydning for kredsløbet. Akutte ændringer i det intracellulære væskeindhold kan tages som udtryk for bevægelser i mængden af røde blodlegemer. Således falder den torakale intracellulære ledningsevne under HUT (19) og LBNP (16) med mængden af blod i hjerte og lunger (Fig. 4).

Præsynkopale symptomer indtræder, når TI stiger 4-7 ohm, eller når den torakale intracellulære ledningsevne er reduceret 7-10 siemens (S, 1/impedans) (16, 19). Derimod afhænger den absolutte EI foruden af væskeindholdet også af afstanden mellem elektroderne og dermed af patientens anatomi.

Strategi for volumenterapi

I behandling af kredsløbet er administration af volumen et vigtigt element, og der kan fastlægges en strategi med baggrund i monitorering af CBV. For at etablere en normo-volæmisk tilstand er det ikke realistisk at tilbyde alle patienter transøsofageal ekkokardiografi, men det er enkelt at følge TI.

Inden operation vil patienten have et normalt til reduceret CBV pga. faste og den aktuelle lidelse. En yderligere reduktion i CBV, fx som følge af epiduralanæstesi, kan derfor provokere et hypovolæmisk shock. CBV skal derfor øges, og efter større operationer forsynes patienten med et væskeoverskud for at modstå postoperativ blødning. Det er rimeligt at administrere volumen, indtil TI reduceres ca. 4 ohm.

Blodtransfusion gives kun ved omfattende blødning. Et mindre blodtab erstattes ved ekspansion af plasmavolumenet til en hæmatokritværdi på 30-35%. Med et planlagt deficit reduceres også den torakale mængde af røde blodlegemer. Et fald i den intracellulære ledningsevne på 4 S er derfor acceptabelt, hvis også TI er faldende som udtryk for, at tabet af erytrocytter er erstattet.

Det er ønskeligt at kunne detektere en reduktion i CBV, der er mindre end den, der udløser et hypovolæmisk shock. De fleste tåler et blodtab på en halv liter, men ca. halvdelen af befolkningen besvimer ved et blodtab på omkring en liter. Tolerancen for blødning vil dog være mindre, hvis lejring og anæstesi har reduceret CBV. Med CO eller SvO2 kan væskebehandlingen præciseres. I liggende stilling etableres en normovolæmisk tilstand ved at øge CBV, indtil et maksimalt CO eller en maksimal SvO2 er etableret (2, 23). Da blodets saturation kan måles med en nøjagtighed på 1%, og SvO2 stiger ca. 1% ved administration af 100 ml (2, 23), bliver 100 ml usikkerheden i at sikre en »normovolæmisk« tilstand.

Med en faldende TI og en stabil torakal intracellulær ledningsevne er kredsløbet kontrolleret under omfattende blødning (32). Et bevaret CBV betyder, at hjernens oxygenering er upåvirket af et betydeligt fald i blodtrykket. Det kan forklare, at anæstesi kan gennemføres med et lavere blodtryk end svarende til det, der anses for at repræsentere den nedre grænse for cerebral autoregulation (hypotensions-anæstesi). Omvendt betyder et fald i CBV, at hjernens gennemblødning og oxygenering reduceres med et normalt blodtryk, som det fx er tilfældet i stående stilling (33, 34). Væskebehandling, der stiler mod at bevare et stabilt centralt blodvolumen, sikrer hjertets minutvolumen og dermed vævets oxygenering.


Niels H. Secher, anæstesiafdelingen, 2041, H:S Rigshospitalet, DK-2100 København Ø.

E-mail: nhsecher@rh.dk

Antaget den 31. juli 2001.

H:S Rigshospitalet, Abdominalcentret, anæstesiafdelingen.


  1. Rasmussen LA, Rosenberg J, Crawford ME, Kehlet H. Perioperativ væskebehandling, en kvalitetsundersøgelse. Ugeskr Læger 1996; 158: 5286-90.
  2. Jenstrup M, Ejlersen E, Mogensen T, Secher NH. A maximal central venous oxygen saturation (SvO2 max) for the surgical patient. Acta Anaesthesiol Scand 1995; 39 (suppl 107): 29-32.
  3. Jacobsen TN, Jost CMT, Converse RL Jr, Victor TG. Cardiovascular sensors: the bradycardic phase in hypovolaemic shock. I: Secher NH, Pawelczyk JA, Ludbrook J, eds. Blood loss and shock. London: Edward Arnold, 1994: 47-60.
  4. Sander-Jensen K, Secher NH, Bie P, Warberg J, Schwartz TW. Vagal slowing of the heart during haemorrhage: observations from 20 consecutive hypotensive patients. BMJ 1986; 292: 364-6.
  5. Jacobsen J, Secher NH. Heart rate during haemorrhagic shock. Clin Physiol 1992; 12: 659-66.
  6. Secher NH, Jacobsen J, Friedma n DB, Matzen S. Bradycardia during reversible hypovolaemic shock: associated neural reflex mechanisms and clinical implications. Clin Exp Pharm Physiol 1992; 19: 733-43.
  7. Kirkman E, Little RA. Cardiovascular regulation during hypovolaemic shock. I: Secher NH, Pawelczyk JA, Ludbrook J, eds. Blood loss and shock. London: Edward Arnold, 1994: 61-76.
  8. Jacobsen J, Hansen OB, Sztuk F, Warberg J, Secher NH. Enhanced heart rate response to haemorrhage by ileus in the pig. Acta Physiol Scand 1993; 149: 293-301.
  9. Lieshout J van, Secher NH. Orthostatic stress and autonomic dysfunction. I: Saltin B, Boushel R, Secher NH, Mitchell JM, eds. Exercise and circulation in health and disease. Champaign, IL: Human Kinetics, 1999: 305-24.
  10. Querry RG, Smith SA, Strømstad M, Ide K, Gallagher KM, Raven PB et al. Neural blockade during exercise augments central command's contribution to carotid baroreflex resetting. Am J Physiol 2001; 280: H1635-H1644.
  11. Schadt JC, Ludbrook J. Hemodynamic and neurohumoral responses to acute hypovolemia in conscious mammals. Am J Physiol 1991; 260: H305-H318.
  12. Caplan RE, Ward RJ, Posner K, Cheney FW. Unexpected cardiac arrest during spinal anesthesia: a closed claims analysis of predisposing factors. Anesthesiology 1988; 68: 5-11.
  13. Arndt JO, Höck A, Stanton-Hicks M, Stühmeir KD. Peridural anesthesia and the distribution of blood in supine humans. Anesthesiology 1985; 63: 616-23.
  14. Krantz T, Laurizen T, Cai Y, Warberg J, Secher NH. Accurate monitoring of a blood loss: thoracic electrical impedance during hemorrahge in the pig. Acta Anaesthesiol Scand 2000; 44: 598-604.
  15. Murray RH, Thompson LJ, Bowers JA, Albright CD. Hemodynamic effects of graded hypovolemia and vasodepressor syncope induced by lower body negative pressure. Am Heart J 1968; 76: 799-811.
  16. Cai Y, Holm S, Jenstrup M, Strømstad M, Eigtved A, Warberg J et al. Electrical impedance for filling of the heart during lower body negative pressure in humans. J Appl Physiol 2000; 89: 1569-76.
  17. Matzen S, Perko GE, Groth S, Friedman DB, Secher NH. Blood volume distribution during head-up tilt induced central hypovolaemia in man. Clin Physiol 1991; 11: 411-22.
  18. Perko G, Payne G, Linkis P, Jørgensen LG, Landow L, Warberg J et al. Thoracic impedance and pulmonary atrial natriuretic peptide during head-up tilt induced hypovolaemic shock in humans. Acta Physiol Scand 1994; 150: 449-54.
  19. Cai Y, Boesen M, Strømstad M, Secher NH. An electrical admittance based index of intracellular water during head-up tilt in humans. Eur J Appl Physiol 2000; 83: 356-62.
  20. Thys DM, Hillel Z, Goldman ME, Mindich BP, Kaplan JA. A comparison of hemodynamic indices by invasive monitoring and two-dimensional echocardiography. Anesthesiology 1987; 67: 630-4.
  21. Arjamaa O, Karlqvist K, Vainiiopää V, Leppäluoto J, Vuolteenaho O. Atrial plasma ANP and NH2-terminal proANP during right atrial pressure increase in humans. Acta Physiol Scand 1996; 157: 481-5,
  22. Tavernier B, Makhotlne O, Lobufie G, Dupont J, Scherpereel P. Systolic pressure variation as a guide to fluid therapy in patients with sepsis-induced hypotension. Anesthesiology 1998; 89: 1313-21.
  23. Ejlersen E, Skak C, Møller K, Pott F, Secher N. Central cardiovascular variables at a maximal mixed venous saturation in severe hepatic failure. Transplant Proc 1995; 27: 3506-7.
  24. Cai Y, Jenstrup M, Ide K, Perko M, Secher NH. Influence of temperature on blood volume distribution as assessed by electrical impedance. Eur J Appl Physiol 2000; 81: 443-8.
  25. Pawelczyk JA, Matzen S, Friedman DB, Secher NH. Cardiovascular and hormonal responses to central hypovolaemia in humans. I: Secher NH, Pawelczyk JA, Ludbrook J, eds. Blood loss and shock. London: Edward Arnold, 1994: 25-36.
  26. Perko G, Payne G, Secher NH. An indifference point for electrical impedance in humans. Acta Physiol Scand 1993; 148: 125-9.
  27. Hanel B, Teunissen I, Rabøl A, Warberg J, Secher NH. Restricted post-exercise pulmonary diffusion capacity and central blood volume depletion. J Appl Physiol 1997; 83: 11-7.
  28. Hanel B, Clifford PS, Secher NH. Restricted post-exercise pulmonary diffusion capacity does not impair maximal transport for O2 . J Appl Physiol 1994; 77: 2408-12.
  29. De Palo EF, Woloszczuk W, Meneghetti M, De Palo CB, Nielsen HB, Secher NH. Circulating immunoreactive proANP(1-30) and proANP(31-67) in sedentary subjects and atheletes. Clin Chem 2000; 46: 843-7.
  30. Perko G, Perko M, Jansen E, Secher NH. Thoracic impedance as an index of body fluid balance during cardiac surgery. Acta Anaesthesiol Scand 1991; 35: 568-71.
  31. Jónsson F, Madsen P, Jørgensen LG, Lunding M, Secher NH. Thoracic electrical impedance and fluid balance during aortic surgery. Acta Anaesth Scand 1995; 38: 513-7.
  32. Ejlersen E, Sode P, Skak C, Rasmussen A, Kirkegaard P, Secher NH. Regional electrical impedance and shunt flow during orthotropic liver transplantation. Liver Transpl Surg 1997; 3: 153-9.
  33. Madsen PL, Secher NH. Near-infrared oxymetry of the brain. Prog Neurobiol 1999; 58: 541-60.
  34. Harms MPM, Colier WNJM, Wieling W, Lenders JWM, Secher NH, van Lieshout JJ. Orthostatic tolerance, cerebral oxygenation and blood velocity in humans with sympathetic failure. Stroke 2000; 31: 1608-14.






Sidebar placering
Venstrestillet
Article type
Journal
Magazine
Section
References

<ol class="Litt-list">
<li>Rasmussen LA, Rosenberg J, Crawford ME, Kehlet H. Perioperativ væskebehandling, en kvalitetsundersøgelse. Ugeskr Læger 1996; 158: 5286-90.</li>
<li>Jenstrup M, Ejlersen E, Mogensen T, Secher NH. A maximal central venous oxygen saturation (SvO<span class="Sub">2</span> max) for the surgical patient. Acta Anaesthesiol Scand 1995; 39 (suppl 107): 29-32.</li>
<li>Jacobsen TN, Jost CMT, Converse RL Jr, Victor TG. Cardiovascular sensors: the bradycardic phase in hypovolaemic shock. I: Secher NH, Pawelczyk JA, Ludbrook J, eds. Blood loss and shock. London: Edward Arnold, 1994: 47-60.</li>
<li>Sander-Jensen K, Secher NH, Bie P, Warberg J, Schwartz TW. Vagal slowing of the heart during haemorrhage: observations from 20 consecutive hypotensive patients. BMJ 1986; 292: 364-6.</li>
<li>Jacobsen J, Secher NH. Heart rate during haemorrhagic shock. Clin Physiol 1992; 12: 659-66.</li>
<li>Secher NH, Jacobsen J, Friedman DB, Matzen S. Bradycardia during reversible hypovolaemic shock: associated neural reflex mechanisms and clinical implications. Clin Exp Pharm Physiol 1992; 19: 733-43.</li>
<li>Kirkman E, Little RA. Cardiovascular regulation during hypovolaemic shock. I: Secher NH, Pawelczyk JA, Ludbrook J, eds. Blood loss and shock. London: Edward Arnold, 1994: 61-76.</li>
<li>Jacobsen J, Hansen OB, Sztuk F, Warberg J, Secher NH. Enhanced heart rate response to haemorrhage by ileus in the pig. Acta Physiol Scand 1993; 149: 293-301.</li>
<li>Lieshout J van, Secher NH. Orthostatic stress and autonomic dysfunction. I: Saltin B, Boushel R, Secher NH, Mitchell JM, eds. Exercise and circulation in health and disease. Champaign, IL: Human Kinetics, 1999: 305-24.</li>
<li>Querry RG, Smith SA, Strømstad M, Ide K, Gallagher KM, Raven PB et al. Neural blockade during exercise augments central command's contribution to carotid baroreflex resetting. Am J Physiol 2001; 280: H1635-H1644.</li>
<li>Schadt JC, Ludbrook J. Hemodynamic and neurohumoral responses to acute hypovolemia in conscious mammals. Am J Physiol 1991; 260: H305-H318.</li>
<li>Caplan RE, Ward RJ, Posner K, Cheney FW. Unexpected cardiac arrest during spinal anesthesia: a closed claims analysis of predisposing factors. Anesthesiology 1988; 68: 5-11.</li>
<li>Arndt JO, Höck A, Stanton-Hicks M, Stühmeir KD. Peridural anesthesia and the distribution of blood in supine humans. Anesthesiology 1985; 63: 616-23.</li>
<li>Krantz T, Laurizen T, Cai Y, Warberg J, Secher NH. Accurate monitoring of a blood loss: thoracic electrical impedance during hemorrahge in the pig. Acta Anaesthesiol Scand 2000; 44: 598-604.</li>
<li>Murray RH, Thompson LJ, Bowers JA, Albright CD. Hemodynamic effects of graded hypovolemia and vasodepressor syncope induced by lower body negative pressure. Am Heart J 1968; 76: 799-811.</li>
<li>Cai Y, Holm S, Jenstrup M, Strømstad M, Eigtved A, Warberg J et al. Electrical impedance for filling of the heart during lower body negative pressure in humans. J Appl Physiol 2000; 89: 1569-76.</li>
<li>Matzen S, Perko GE, Groth S, Friedman DB, Secher NH. Blood volume distribution during head-up tilt induced central hypovolaemia in man. Clin Physiol 1991; 11: 411-22.</li>
<li>Perko G, Payne G, Linkis P, Jørgensen LG, Landow L, Warberg J et al. Thoracic impedance and pulmonary atrial natriuretic peptide during head-up tilt induced hypovolaemic shock in humans. Acta Physiol Scand 1994; 150: 449-54.</li>
<li>Cai Y, Boesen M, Strømstad M, Secher NH. An electrical admittance based index of intracellular water during head-up tilt in humans. Eur J Appl Physiol 2000; 83: 356-62.</li>
<li>Thys DM, Hillel Z, Goldman ME, Mindich BP, Kaplan JA. A comparison of hemodynamic indices by invasive monitoring and two-dimensional echocardiography. Anesthesiology 1987; 67: 630-4.</li>
<li>Arjamaa O, Karlqvist K, Vainiiopää V, Leppäluoto J, Vuolteenaho O. Atrial plasma ANP and NH2-terminal proANP during right atrial pressure increase in humans. Acta Physiol Scand 1996; 157: 481-5,</li>
<li>Tavernier B, Makhotlne O, Lobufie G, Dupont J, Scherpereel P. Systolic pressure variation as a guide to fluid therapy in patients with sepsis-induced hypotension. Anesthesiology 1998; 89: 1313-21.</li>
<li>Ejlersen E, Skak C, Møller K, Pott F, Secher N. Central cardiovascular variables at a maximal mixed venous saturation in severe hepatic failure. Transplant Proc 1995; 27: 3506-7.</li>
<li>Cai Y, Jenstrup M, Ide K, Perko M, Secher NH. Influence of temperature on blood volume distribution as assessed by electrical impedance. Eur J Appl Physiol 2000; 81: 443-8.</li>
<li>Pawelczyk JA, Matzen S, Friedman DB, Secher NH. Cardiovascular and hormonal responses to central hypovolaemia in humans. I: Secher NH, Pawelczyk JA, Ludbrook J, eds. Blood loss and shock. London: Edward Arnold, 1994: 25-36.</li>
<li>Perko G, Payne G, Secher NH. An indifference point for electrical impedance in humans. Acta Physiol Scand 1993; 148: 125-9.</li>
<li>Hanel B, Teunissen I, Rabøl A, Warberg J, Secher NH. Restricted post-exercise pulmonary diffusion capacity and central blood volume depletion. J Appl Physiol 1997; 83: 11-7.</li>
<li>Hanel B, Clifford PS, Secher NH. Restricted post-exercise pulmonary diffusion capacity does not impair maximal transport for O<span class="Sub">2</span> . J Appl Physiol 1994; 77: 2408-12.</li>
<li>De Palo EF, Woloszczuk W, Meneghetti M, De Palo CB, Nielsen HB, Secher NH. Circulating immunoreactive proANP(1-30) and proANP(31-67) in sedentary subjects and atheletes. Clin Chem 2000; 46: 843-7.</li>
<li>Perko G, Perko M, Jansen E, Secher NH. Thoracic impedance as an index of body fluid balance during cardiac surgery. Acta Anaesthesiol Scand 1991; 35: 568-71.</li>
<li>Jónsson F, Madsen P, Jørgensen LG, Lunding M, Secher NH. Thoracic electrical impedance and fluid balance during aortic surgery. Acta Anaesth Scand 1995; 38: 513-7.</li>
<li>Ejlersen E, Sode P, Skak C, Rasmussen A, Kirkegaard P, Secher NH. Regional electrical impedance and shunt flow during orthotropic liver transplantation. Liver Transpl Surg 1997; 3: 153-9.</li>
<li>Madsen PL, Secher NH. Near-infrared oxymetry of the brain. Prog Neurobiol 1999; 58: 541-60.</li>
<li>Harms MPM, Colier WNJM, Wieling W, Lenders JWM, Secher NH, van Lieshout JJ. Orthostatic tolerance, cerebral oxygenation and blood velocity in humans with sympathetic failure. Stroke 2000; 31: 1608-14.</li>
</ol>

Woodwing Id
260720
English summary

Summary Strategy for peroperative volume therapy: balancing the central blood volume. Ugeskr L&aelig;ger 2002; 164: 1489-93. The stategy for peroperative volume treatment is not clear, partly because of the difficulty in monitoring the central blood volume (CBV). The cardiovascular responses to hypovolaemic shock are reviewed with emphasis on the often very low heart rate, which develops when the CBV is reduced by about 30%. A proposal has been put forward that normovolaemia is the CBV that does not limit cardiac output. The possibility of monitoring CBV by electrical impedance is also reviewed. It is concluded that the deviations reflect the CBV accurately in both experimental and clinical studies. A strategy that maintains the CBV ensures cerebral oxygenation even during extensive haemorrhage.

Bib ref
Ugeskr Læger 2002;164(11): 1489-93.
Authors

Niels H. Secher

0 likes
Read time
17