Medlem i

13 years 1 month
Indholdselementer
Billede
Sidebar placering
Venstrestillet
Billede
Sidebar placering
Venstrestillet


Med de store infektionssygdommes forsvinden i begyndelsen af 1900-tallet, flyttede fokus sig til den nye epidemi af kroniske sygdomme - især hjerte-kar-sygdomme. I 1940'erne i USA startede den første kohorteundersøgelse af raske voksne personer for at identificere årsagerne til disse nye sygdomme. I Danmark fulgte man efter i 1964, da overlæge Per From Hansen og 1. reservelæge Leif Hagerup indkaldte til undersøgelse af 976 50-årige personer bosat i fire kommuner omkring Glostrup (1914-kohorten). Det blev starten på Befolkningsundersøgelserne i Glostrup. Reaktionen fra lægekollegerne var blandet, og nogle fandt, at det var »glasklart vanvid«. Det skulle imidlertid vise sig at være starten på en meget frugtbar epoke i dansk epidemiologi, og i år kan forskningscentret fejre sit 40-års-jubilæum.

Fra »glade amatører« til etableret forskningscenter

Befolkningsundersøgelserne var fra starten en del af Medicinsk Afdeling C, Amtssygehuset i Glostrup. Amtssygehuset stillede lokaler til rådighed til selve dataindsamlingen, og forskerne måtte efterfølgende finde relevante forskningsmiljøer til analyse af dataene. Der opstod et murstensløst samarbejde mellem disse forskere, hvilket blandt andet blev starten på Epidemiologisk Forskningsgruppe - senere Dansk Epidemiologisk Selskab. Antallet af forskere og ønskerne om nye undersøgelser voksede støt, og fra 1990 blev der ansat en videnskabelig leder af befolkningsundersøgelserne. Fra 1996 besluttede Københavns Amt at støtte stedet med en fast årlig bevilling, og samtidig blev befolkningsundersøgelserne tildelt flere lokaler, hvilket gav mulighed for at etablere et forskningsmiljø på stedet. Navnet blev ændret til Center for Sygdomsforebyggelse, staben blev øget fra ni til 45 personer over de følgende år, og der blev etableret en relevant organisation til varetagelse af den videnskabelige aktivitet. I 2002 blev centret et selvstændigt forskningscenter i Københavns Amt og skiftede navn til Forskningscenter for Forebyggelse og Sundhed (FCFS). I 2003 flyttede forskningscentret til en større bygning på Amtssygehuset i Glostrup.

Befolkningsundersøgelserne

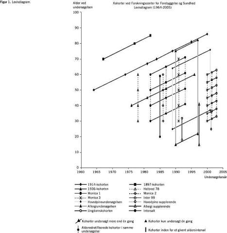
Undersøgelsen i 1964 blev fulgt op af en undersøgelse af 636 70-årige i 1967 (1897-kohorten). I 1974 blev 1914-kohorten genundersøgt som 60-årige, og siden er der uafbrudt foregået befolkningsundersøgelser på stedet. Genundersøgelsen af 1914-kohorten var begyndelsen på et fast mønster, hvor der i løbet af de kommende år både blev påbegyndt nye kohorter og foretaget genundersøgelser af tidligere kohorter (Figur 1 ). Samlet omfatter de udtrukne kohorter ved FCFS mere end 36.000 personer, hvoraf over 25.000 er undersøgt. Med de gentagne undersøgelser på udvalgte kohorter er der alt i alt foretaget mere end 43.000 personundersøgelser ved forskningscentret.

Undersøgelserne tager udgangspunkt i tilfældige udtræk af befolkningen i den sydvestlige del af Københavns Amt. Alle undersøgelser har en basisdel med hovedvægten på data om sociale forhold, livsstil, symptomer, sygdomme, blodtryk, plasmalipider og relativ vægt. Derudover har de fleste undersøgelser haft en eller flere tilknyttede delundersøgelser. Mange af de spørgsmål, der er blevet stillet, og de antropometriske, biologiske og fysiologiske målinger, deltagerne har gennemgået, har således varieret fra undersøgelse til undersøgelse. Dette har givet en meget stor spændvidde i de indsamlede data (f.eks. fra antallet af tiloversblevne tænder til religiøst tilhørsforhold og seksualvaner).

De indsamlede data bliver løbende koblet til centrale sygdomsregistre med henblik på at undersøge udviklingen i morbiditet og mortalitet i kohorterne. Med udgangspunkt i de undersøgte kohorter er der desuden en veludbygget biobank i form af frossen urin, plasma og DNA, som kan bruges til fremtidige undersøgelser.

Videnskabelig produktion og landvindinger

Den kardiovaskulære epidemiologi var central fra undersøgelsernes start. De første disputatser omhandlede risikofaktorer for hjerte-kar-sygdom [1], og det var et stort internationalt gennembrud for centret at blive inviteret med i det WHO-styrede internationale MONICA-projekt om udvikling i og betydning af risikofaktorer for hjerte-kar-sygdom [2]. På FCFS har man med blandt andet 14 disputatser og ti ph.d.-afhandlinger været med til at afdække de væsentligste risikofaktorer for hjerte-kar-sygdomme. Som udtryk for den tætte tilknytning til de kliniske miljøer, har en del projekter omhandlet patofysiologiske mekanismer ved udvikling af hjerte-kar-sygdomme, og i samarbejde med genetikere har man påbegyndt en række undersøgelser af diverse genetiske aspekter ved hjerte-kar-sygdomme [3]. Den kardiovaskulære epidemiologiske forskning ved FCFS har således bidraget til forståelse af det komplekse samspil mellem psykosociale forhold, livsstil, biologiske og fysiologiske mål samt gener for udvikling af hjerte-kar-sygdom. Denne forskningsevolution har tjent som eksempel til efterfølgelse vedrørende andre folkesygdomme og sundhedsproblemer.

Fra den første befolkningsundersøgelse er mange forskellige sundhedsfaglige områder blevet belyst, og med årene har stort set alle lægefaglige specialer været involveret. Dette fremgår af Figur 2 , som viser et udpluk af resultaterne fra de epidemiologiske undersøgelser ved FCFS. Foruden hjerte-kar-sygdomme har andre epidemiologiske landvindinger gjort centret kendt. F.eks.:

  • Hovedpineundersøgelsen, hvor en ny international klassifikation blev benyttet for første gang i en befolkningsundersøgelse, og som viste, at spændingshovedpine og migræne er separate sygdomsenheder [4].

  • Allergiundersøgelsen, hvor det for første gang med objektive mål dokumenteres, at der er sket en markant stigning i allergi, og at den sandsynligvis er startet i 1960'erne [5].

  • Aldringsundersøgelsen, hvor der foretages en grundig beskrivelse af funktionsevnen hos ældre med udgangspunkt i 1914-kohorten, som nu er fulgt til 90-års-alderen [6].

  • Diabetesundersøgelser, hvor den eksplosive stigning i forekomsten af type 2-diabetes dokumenteres [7].

  • Thyroideaundersøgelsen, hvor der for første gang foretages en systematisk afdækning af risikofaktorer til struma [8].

Andre områder er på vej. Her kan fremhæves forskningen i samspillet mellem psyke og kronisk sygdom, hvor psykisk sårbarhed synes at disponere for en række kroniske sygdomme, muligvis medieret gennem kronisk stress.

Befolkningsundersøgelserne begyndte som et murstensløst center - lang tid før det blev et modebegreb. Denne tradition er bevaret, og p.t. benytter mere end 50 eksterne forskere data herfra. Dette ekstensive samarbejde med kliniske afdelinger, andre befolkningsundersøgelser, sektorforskningsinstitutioner og universitetsinstitutter sker både nationalt og internationalt. Størstedelen af samarbejdet omhandler hjerte-kar-sygdom og endokrinologi, og her skal særligt fremhæves MORGAM-samarbejdet, hvor data fra mere end 25 befolkningsundersøgelser benyttes til analyser af samspillet mellem gener og livsstilsfaktorer for udvikling af hjerte-kar-sygdomme, samarbejdet med Steno Diabetes Center om type 2-diabetes samt DanThyr-samarbejdet om forebyggelse af thyroideasygdom. Yderligere oplysninger om FCFS-forskningsprojekter kan ses på FCFS' hjemmeside og i årsberetningen.

Forskningscentrets første publikation kom i 1967, og til dato er der publiceret mere end 1.500 videnskabelige arbejder med udgangspunkt i centrets data - heraf mere end 60 akademiske afhandlinger (inkl. 25 disputatser). Det årlige antal publikationer har i de seneste fem år i gennemsnit ligget på 114 - heraf seks akademiske afhandlinger og 54 originale videnskabelige publikationer i peer-reviewede tidsskrifter.

Visionen for FCFS

Visionen er, at den epidemiologiske grundforskning videreføres inden for de store sygdomsområder (hjerte-kar-sygdom, type 2-diabetes og allergi) i form af fortsat overvågning og yderligere afdækning af risikofaktorer. Desuden påregnes nye områder løbende inddraget, hvor blandt andet somatoforme tilstande, cancer og autoimmune sygdomme er aktuelle.

Med henblik på at afprøve forskellige modeller for forebyggelse af kroniske sygdomme er der gennem de seneste år arbejdet på opbygning af et forskningsmiljø inden for sundhedstjenesteforskning og klinisk epidemiologi. Sundhedstjenesteforskningen omhandler hovedsageligt hjerte-kar-sygdom [9], mens den kliniske epidemiologi tager udgangspunkt i de nationale kliniske databaser, som dækker over en lang række sygdomsområder [10]. Disse forskningsområder, hvori man anvender den epidemiologiske metode, kommer til at fylde en del inden for de næste år.

Epilog

FCFS har gennem 40 år udviklet sig fra en befolkningsundersøgelse til en forskningsinstitution inden for epidemiologisk grundforskning, klinisk epidemiologi og sundhedstjenesteforskning. Alle disse forskningsdiscipliner har til formål at forebygge kroniske sygdomme. Med placeringen af FCFS tæt på de kliniske miljøer er det håbet, at den teoretisk baserede epidemiologiske grundforskning kombineret med anvendelsesorienteret forskning som klinisk epidemiologi og sundhedstjenesteforskning giver bedre muligheder for implementeringen af en forebyggende indsats.


Torben Jørgensen, Forskningscenter for Forebyggelse og Sundhed, Bygning 84/85, Amtssygehuset i Glostrup, DK-2600 Glostrup. E-mail: tojo@glostruphosp.kbhamt.dk

Antaget: 11. marts 2004

Interessekonflikter: Ingen angivet




Sidebar placering
Venstrestillet
Article type
Journal
Magazine
Section
References

<ol class="Litt-list">
<li>Schroll M. A ten-year prospective study, 1964-74, of cardiovascular risk factors in men and women from the Glostrup population, born in 1914. Dan Med Bull 1982;29:213-52.</li>
<li>WHO MONICA Project. Contribution of trends in survival and coronary-event rates to changes in coronary heart disease mortality: 10 year results from 37 WHO MONICA Project populations. Lancet 1999;353:1547-57.</li>
<li>Husemoen L, Thomsen T, Fenger M et al. Contribution to thermolabile methylenetetrahydrofolate reductase variant to total plasma homocysteine levels in healthy men and women. Genet Epidemiol 2003;24:322-30.</li>
<li>Rasmussen BK. Epidemiology of headache. København: Københavns Universitet, 1994:1-52.</li>
<li>Linneberg A. Allergisk rhinitis og IgE sensibilisering i en dansk voksenpopulation - ændringer i prævalens og vurdering af rygning som risikofaktor [ph.d-afhandling]. København: Københavns Universitet, 2001.</li>
<li>Avlund K. Måling af funktionsevne fra 70- til 75-års alderen. En opfølgningsundersøgelse af 1914 populationen i Glostrup fra 1984-1989. København: FADL's forlag 1995.</li>
<li>Drivsholm T, Ibsen H, Schroll M et al. Increasing prevalence of diabetes mellitus and impaired glucose tolerance among 60-year-old Danes. Diabet Med 2001;18:126-32.</li>
<li>Knudsen N, Laurberg P, Perrild H et al. Risk factors for goiter and thyroid nodules. Thyroid 2002;12:879-88.</li>
<li>Jørgensen T, Borch-Johnsen K, Thomsen T et al. A randomised non-pharmacological intervention study for prevention of ischaemic heart disease: base-line results. Eur J Cardiovasc Prevention Rehab 2003;10:377-86.</li>
<li>Nordly S, Jørgensen T, Andreasen AH et al. Quality of diabetes management in children and adolescents in Denmark. Diabetic Medicine 2003;20:568-74.</li>
</ol>

Woodwing Id
254399
Fil
English summary

Summary Epidemiological research during the last 40 years: population studies at the Research Centre for Prevention and Health, Glostrup, Denmark Ugeskr L&aelig;ger 2004;166:1425-1428 In 1964, the first cohort of a random sample of adults was initiated in Denmark. This was the start of the Glostrup Population Studies, now the Research Centre for Prevention and Health, which this year will celebrate its 40th anniversary. By means of repetitive cross-sectional studies and follow-up studies, random samples of more than 31,000 people have been included in epidemiological research including nearly all medical specialities. This research has led to more than 1,500 scientific publications. The centre participates extensively in national and international research collaboration.

Bib ref
Ugeskr Læger 2004;166(15):1425-1428
Authors

Centerchef Torben Jørgensen Amtssygehuset i Glostrup, Københavns Amts Forskningscenter for Forebyggelse og Sundhed

0 likes
Read time
8