Medlem i

12 years 10 months
Indholdselementer
Billede
Sidebar placering
Venstrestillet
Billede
Sidebar placering
Venstrestillet
Billede
Sidebar placering
Venstrestillet


Ultralyd, der er blevet en integreret del af diagnostikken i mange forskellige specialer, kan bruges til at estimere blodets bevægelse ved Dopplerultralyd. I denne artikel gives en kort introduktion til teorien bag Dopplerultralyd med en gennemgang af de vigtigste parametre for, at sikker og korrekt Dopplerultralyddiagnostik opnås, samt eksempler på normalundersøgelser med Dopplerultralyd af forskellige kar i abdomen.

MEDICINSK ULTRALYD

Ultralydundersøgelser foregår i sand tid, kræver ikke forberedelse, kan udføres hos alle patientgrupper og kan gentages uden forbehold. Lyd udsendt via en transducer passerer i patienten gennem de forskellige vævstyper og reflekteres som ekkoer ved hver vævsovergang. Ekkoerne opsamles af transduceren, og skanneren producerer et gråtone- eller brightness-mode (B-mode )-billede, hvor ekkoernes styrke eller amplitude gengives med pixelværdi [1, 2]. Ultralyd karakteriseres med enheden hertz (1 Hz = 1 svingning pr. sekund), og i medicinsk ultralyd arbejder man typisk med frekvenser på 2-15 MHz. Høj frekvens giver høj opløsning i ultralydbilledet, men samtidig en kompromitteret penetration. Derfor benyttes 7-15 MHz til undersøgelser af superficielle strukturer og 2-7 MHz til dybereliggende strukturer [1, 2].

VINKELAFHÆNGIGHED I DOPPLERULTRALYD

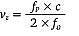
Ved udsendelse af kontinuert ultralyd som brugt i de første ultralydsystemer estimeres blodhastigheder ved frekvensændringer. Metoden har fået navn efter Dopplereffekten [1, 2], som beskriver, hvordan lyden ændrer frekvens, afhængigt af om lydkilden og modtageren bevæger sig mod eller væk fra hinanden. Moderne systemer udsender pulseret ultralyd, og i disse systemer sammenlignes ekkoer fra to signaler, der er opsamlet lige efter hinanden. Har blodet flyttet sig, vil ekkoerne være forskudt, og dette kan omregnes til en hastighed. Selvom man i moderne pulserede systemer ikke direkte bruger Dopplereffekten til hastighedsestimering, kan forskydningen af ekkoer omregnes til en frekvensændring, og typisk forklares hastighedsestimeringen ud fra denne:

Sidebar placering
Venstrestillet
Billede
Sidebar placering
Venstrestillet



(1)

hvor vz er blodets hastighed (i den aksiale retning), fp er frekvensændringen, c er lydens hastighed i vævet, og f0 er transducerens centerfrekvens. Frekvensændringen er positiv, når blodet har en bevægelse hen imod transduceren, og den er negativ, når blodet har en bevægelse væk fra transduceren. Derved kan hastigheden have både positive og negative værdier [1-3].

Med Dopplerultralyd estimeres kun hastigheder i den aksiale retning, altså i retningen hen imod og væk fra transduceren og derfor langs lydens udbredelse. Det betyder, at hastighedskomponenter i det transverse plan ikke registreres. Derfor er konventionel Dopplerultralyd vinkelafhængig, og det skal man tage højde for i undersøgelsessituationen. Når kar skal undersøges med Dopplerultralyd, er det essentielt, at blodet ikke løber i det transverse plan. Da de fleste kar er parallelle med overfladen, skal vinklen mellem lydens udbredelse og blodets bevægelse ofte reduceres, for at man kan opnå en brugbar hastighedsestimering. Dette kan gøres ved enten manuelt at vinkle transduceren eller på lineære transducere ved elektronisk at styre pulsen (Figur 1 ) [3].

FARVE-DOPPLER, POWER-DOPPLER OG SPEKTRAL-DOPPLER

På de fleste skannere findes tre forskellige Dopplerfunktioner: farve-Doppler, power-Doppler og spektral-Doppler. Farve-Doppler beregner frekvensændringer inden for en colour box , som placeres af operatøren. Som i B-mode omregnes det modtagne signal til en pixelværdi, blot bruges der en farveskala, der typisk går fra rød til blå og repræsenterer spændet fra negative til positive værdier. Power-Doppler er ligeledes vist inden for en colour box . For denne metode beregnes kun styrken af det modtagne signal fra blodet, uden at retningen angives. Til gengæld er power-Doppler stort set vinkeluafhængig og mere sensitiv for langsomt flow og flow i små kar [2, 3].

Spektral-Doppler evaluerer flow inden for et mindre areal, der er defineret af en range gate . Denne, der sættes i karrets midte, skal have en bredde, der svarer til den del af lumen, hvori hastighederne ønskes estimeret. Det drejer sig ofte om 25-50% af karrets samlede diameter, da langsomt flow langs karvæggen normalt ikke medtages i estimeringen [4]. Data, der er opsamlet inden for range gate , afbildes i et spektrogram, hvor blodets hastighed er givet over tid. Jo flere blodlegemer, der bevæger sig med samme hastighed, jo lysere vil pixelen i spektrogrammet være. Samtidig er bredden af spektralkurven i spektrogrammet et udtryk for hastighedsdiversiteten. Jo flere hastigheder, der registreres inden for range gate , jo bredere vil spektralkurven være [2, 3].

Hvor farve- og power-Doppler er modaliteter, der kvalitativt angiver, om blod bevæger sig, kan man med spektral-Doppler opnå et kvantitativt mål for blodets hastighed. Dette gøres ved en vinkelkorrektion, som operatøren angiver på skanneren ud fra den antagelse, at blodet løber parallelt med karvæggen. Den aksiale hastighedskomponent vz givet i (1) og den vinkelkorrigerede hastighed v er givet ved:

Sidebar placering
Venstrestillet
Billede
Sidebar placering
Venstrestillet



(2)

hvor θ er den aflæste vinkel mellem lydens udbredelse og blodet bevægelse. Når blodets bevægelse ligger i det transverse plan, er vinklen 90°, og der er ingen frekvensændring, så v forbliver nul. Det kan ses ud fra (2), idet cos(90) er nul. Insonationsvinklen bør desuden holdes under 60°, da hældningen af cosinusfunktionen for vinkler over 60° forøges drastisk. En lille fejl i vinkelaflæsningen θ vil derfor betyde en gradvist større fejl på den vinkelkorrigerede hastighed v og være uacceptabelt stor, når θ overstiger 60° [2].

DOPPLER-GAIN, PULSREPETITIONSFREKVENS OG BASELINE

Når en acceptabel insonationsvinkel er opnået, skal Doppler-gain indstilles. Doppler-gain fungerer som B-mode-gain , således at det modtagne signal forstærkes med en faktor, der er sat af operatøren. Skrues gain ukritisk op, vil signalet drukne i støj, mens en alt for lavt sat Doppler-gain vi l kunne mistolkes som manglende flow. I farve- og power-Doppler skal Doppler-gain indstilles, så der kan ses flow i hele karrets lumen dog uden blooming , som er misvisende Dopplersignal uden for karret. Ved spektral-Doppler sættes Doppler-gain , så spektrogrammet står tydeligt frem, og den mørke baggrund får en gråsort farvetone [3, 5].

Dopplerultralyd er pulseret og afhængig af pulsrepetitionsfrekvensen (PRF). PRF definerer frekvensen af de udsendte pulse og sætter grænserne for de hastigheder, der kan registreres. Jo højere PRF er, jo hurtigere flow kan skanneren registrere, idet hastigheden af dataopsamlingen skal matche hastigheden af blodets bevægelse.

Hvis PRF sættes for lavt, opstår der et fænomen, som kaldes aliasering. Dette er specielt afgørende i Dopplerundersøgelser med farve- og spektral-Doppler, hvor både positive og negative hastigheder estimeres. Aliasering viser sig ved, at hastigheder, der falder uden for skalaen, registreres med ændret fortegn og modsatrettet flow. Hvis PRF derimod sættes for højt i forhold til de faktiske hastigheder i karret, kan registreringen af flowet helt udeblive, fordi skalaens grænser er for vide (Figur 2 ). PRF skal derfor altid justeres til det aktuelle flow [1, 6].

Frekvensen af den udsendte ultralyd er også afgørende for aliasering. Jo højere frekvens, jo hurtigere nås aliaseringsgrænsen. Derfor kan det indimellem være en fordel at benytte en abdominaltransducer med lav centerfrekvens på overfladiske kar med høje hastigheder. I spektral-Doppler kan aliasering tillige undgås ved at justere baseline . Baseline deler positive og negative værdier i spektrogrammet og kan placeres asymmetrisk (Figur 2) [3].

Sidebar placering
Venstrestillet
Billede
Sidebar placering
Venstrestillet


SE VIDEOEN HER


DOPPLERUNDERSØGELSE AF ABDOMINALE KAR

Nedenfor er givet eksempler på undersøgelser af abdominale kar med Dopplerultralyd. Ved undersøgelserne er der benyttet en lavfrekvent kurvet abdominaltransducer, og B- mode -billedet er optimeret mht. dybde, gain og fokus.

Arteria mesenterica superior

I faste har arteria mesenterica superior plug flow med en trifasisk profil, som ligner den i aorta abdominalis med hurtige op- og nedslag i systolen (Figur 3 ). Plug flow opstår, når blodet har omtrent samme hastighed, hvad enten det befinder sig i centrum eller mere perifert i karlumen. Spektralkurven er derfor skarpttegnet og overvejende uafhængig af range gate -bredde [4, 7]. Den trifasiske flowprofil skyldes, at der i tidlig diastole er et retrogradt flow og i sen diastole et antegradt flow. Efter fødeindtag sænkes modstanden i karret, og en øget maksimal systolisk hastighed (PSV) og slutdiastolisk hastighed (EDV) indtræder med udelukkende positivt flow i diastolen for at imødegå det øgede iltkrav fra tarmen. Flowprofilen ændres fra plug flow til laminart flow, der er kendetegnet ved faldende hastigheder i lumen fra centrum mod periferien, hvilket resulterer i en bredere spektralkurve [6, 8]. Ved betydende stenose i arteria mesenterica superior som ved kronisk intestinal iskæmi ses hos fastende patienter PSV > 275 cm/s, som øges yderligere postprandialt, samt EDV > 50 cm/s. Normalværdien ved faste er for PSV 130 (± 18) cm/s og EDV 24 (± 4) cm/s [7].

Vena portae

Flowet i vena portae estimeres med transduceren placeret interkostalt i patientens højre flanke. Herved opnås en brugbar insonationsvinkel, og overlejrende tarmluft undgås. Ved normalt flow i vena portae vil farve-Doppler inden for colour box vise antegradt (hepatopetalt) flow. Dvs. at flow i det portale system, der løber ind i leveren ved interkostal skannerposition, derfor bevæger sig mod transduceren. Range gate placeres i lumen og indstilles tilstrækkeligt smal, så signal fra arteria hepatica, der forløber i tæt relation hertil, undgås. Flowet er positivt og laminart med hastigheder på 20-40 cm/s. Der ses en diskret fasisk bevægelse i flowet synkront med hjertefrekvensen, hvilket skyldes tilbagetransmitterede trykændringer fra højre atrium via levervenerne, og en langsommere fluktuation, som skyldes respirationssynkrone trykændringer i thorax (Figur 3) [5].

Ved cirrose kan flowet i vena portae være reduceret (< 16 cm/s), og i svære tilfælde kan det blive retrogradt (hepatofugalt). Dette indtræffer pga. forøget modstand i det portale system som følge af fibrose i leveren. Manglende flow kan være et udtryk for cirrose, men det kan også være tegn på en portaltrombe [8].

Nyrekar

Nyren skannes fra flanken. Organet gennemgås i længde- og tværskanning med farve-Doppler. PRF sættes så lavt, at små kar kan visualiseres, og et indtryk af ensartet perfusion opnås. Dernæst udvælges en intrarenal interlobær arterie til spektral-Doppler-estimering. Når nyrens interlobære arterier skannes fra flanken, vil insonationsvinklen være optimal, og flowet vil have retning mod transduceren. Til evaluering af nyren hører beregning af det resistive indeks (RI), der er givet ved:

Sidebar placering
Venstrestillet
Billede
Sidebar placering
Venstrestillet



(3)

RI er en ratio, dvs. uden benævnelse og følgelig vinkeluafhængig. RI, der beregnes ud fra spektrogrammet og ofte automatisk af skanneren, er et udtryk for karrets komplians og modstand. Normalværdien for RI er 0,60-0,70 [6, 9] (Figur 3).

RI kan bruges til evaluering af tilstedeværelsen af obstruktion af de fraførende urinveje og til nyrearteriestenose. Den akutte obstruktion uden hydronefrose kan ikke erkendes med B- mode -skanning. Derimod genereres en vasokonstriktion, som afstedkommer en målbar forøgelse af RI i den syge nyre på > 0,10 i forhold til den raske nyre. Ved betydende ensidig nyrearteriestenose sænkes RI i den syge nyre, og en RI-difference > 0,05 mellem nyrerne er signifikant. Desuden bruges forhøjet RI i den transplanterede nyre som en markør for vaskulær dysfunktion, der kan skyldes uønskede tilstande såsom afstødning, akut tubulær nekrose og immunsuppresiv toksicitet. For at reducere variansen af estimatet bør RI findes som et gennemsnit af 2-3 målinger i nyren [9].

KONKLUSION

Ultralyd og specielt Dopplerultralyd er operatørafhængigt. Ud over en praktisk kunnen er en forståelse af de grundlæggende principper i Dopplerultralydskanning essentiel for korrekt gennemførelse af undersøgelsen. Ved små og enkle justeringer af de forskellige parametre som beskrevet i denne artikel opnås der brugbare og pålidelige resultater.



KORRESPONDANCE: Kristoffer Lindskov Hansen , Radiologisk Klinik, Diagnostisk Center, Rigshospitalet, Blegdamsvej 9, 2100 København Ø. E-mail: lindskov@gmail.com

ANTAGET: 28. september 2011

INTERESSEKONFLIKTER: ingen

Retningslinjerne er godkendt af Dansk Radiologisk Selskab.


  1. Je nsen JA. Estimation of blood velocities using ultrasound: a signal processing approach. New York: Cambridge University Press, 1996.
  2. Allan PL, Dubbins PA, Pozniak MA et al. Clinical Doppler ultrasound. London: Churchill Livingstone, 2000.
  3. Hansen KL. In-vivo studies of new vector velocity and adaptive spectral estimators in medical ultrasound. Dan Med Bul 2010;57:1-23.
  4. Bhatt S, Ghazale H, Dogra VS. Sonographic evaluation of the abdominal aorta. Ultrasound Clin 2007;2:437-53.
  5. Kruskal JB, Newman PA, Sammons LG et al. Optimizing Doppler and color flow US: application to hepatic sonography. Radiographics 2004;24:657-75.
  6. Wood MM, Romine LE, Lee YK et al. Spectral Doppler signature waveforms in ultrasonography: a review of normal and abnormal waveforms. Ultrasound Q 2010;26:83-99.
  7. Hermsen K, Chong WK. Ultrasound evaluation of abdominal aortic and iliac aneurysms and mesenteric ischemia. Radiol Clin North Am 2004;42:365-81.
  8. McNaughton DA, Abu-Yousef MM. Doppler US of the liver made simple. Radiographics 2011;31:161-88.
  9. Tublin ME, Bude RO, Platt JF. The resistive index in renal Doppler sonography: where do we stand? AJR Am J Roentgenol 2003;180:885-92.




Sidebar placering
Venstrestillet
Article type
Journal
Magazine
Section
References

<ol class="Litt-list">
<li>Jensen JA. Estimation of blood velocities using ultrasound: a signal processing approach. New York: Cambridge University Press, 1996.</li>
<li>Allan PL, Dubbins PA, Pozniak MA et al. Clinical Doppler ultrasound. London: Churchill Livingstone, 2000.</li>
<li>Hansen KL. In-vivo studies of new vector velocity and adaptive spectral estimators in medical ultrasound. Dan Med Bul 2010;57:1-23.</li>
<li>Bhatt S, Ghazale H, Dogra VS. Sonographic evaluation of the abdominal aorta. Ultrasound Clin 2007;2:437-53.</li>
<li>Kruskal JB, Newman PA, Sammons LG et al. Optimizing Doppler and color flow US: application to hepatic sonography. Radiographics 2004;24:657-75.</li>
<li>Wood MM, Romine LE, Lee YK et al. Spectral Doppler signature waveforms in ultrasonography: a review of normal and abnormal waveforms. Ultrasound Q 2010;26:83-99.</li>
<li>Hermsen K, Chong WK. Ultrasound evaluation of abdominal aortic and iliac aneurysms and mesenteric ischemia. Radiol Clin North Am 2004;42:365-81.</li>
<li>McNaughton DA, Abu-Yousef MM. Doppler US of the liver made simple. Radiographics 2011;31:161-88.</li>
<li>Tublin ME, Bude RO, Platt JF. The resistive index in renal Doppler sonography: where do we stand? AJR Am J Roentgenol 2003;180:885-92.</li>
</ol>

Woodwing Id
251480
Fil
Conflict of interest
Bib ref
Ugeskr Læger 2011;173(47):
Authors

Kristoffer Lindskov Hansen1, Mads Møller Pedersen1, 2, Jørgen Arendt Jensen2 & Michael Bachmann Nielsen1 1) Radiologisk Klinik, Diagnostisk Center, Rigshospitalet 2) Center for Fast Ultrasound Imaging, Institut for Elektroteknologi, Danmarks Tekniske Universitet

0 likes