Medlem i

13 years 1 month
Indholdselementer
Billede
Sidebar placering
Venstrestillet
Billede
Sidebar placering
Venstrestillet
Billede
Sidebar placering
Venstrestillet


Introduktion: Formålet var at udarbejde referenceværdier for body mass index (BMI) (vægt/højde 2 [kg/m 2 ]) hos 0-45-årige danskere.

Materiale og metoder: Et landsdækkende materiale anvendt til udarbejdelse af de gældende referenceværdier for højde og vægt (29.106 målinger i 1965-1977, alder 0-21 år, materiale I). Fire materialer fra København (3.391 målinger i 1981-1985; alder 7-45 år; materiale II og III og 2.608 målinger i 1991-1994; alder 6-45 år; materiale IV og V). Danske BMI-referenceværdier for alder og køn blev udarbejdet ud fra materiale I og II ved udglatning af kurver med LMS-metoden. BMI-værdier fra to nyere, men mindre, danske materialer (IV og V) blev sammenlignet med de danske referenceværdier for at undersøge for periodeeffekt.

Resultater: De danske BMI-referenceværdier præsenteres grafisk. Grafer kan hentes fra www.paediatri.dk. I de nyligt undersøgte materialer var det gennemsnitlige BMI højere end referenceværdierne for børn og unge (SD-score 0,19, p = 0,0007) men uændret for yngre voksne (SD-score 0,01, p = 0,49).

Diskussion: Til klinisk formål anbefaler vi, at danske børn og unges BMI sammenlignes med de danske referenceværdier og nye internationalt baserede grænseværdier. Voksnes BMI bør sammenlignes med de grænseværdier, der er fastsat af WHO. Til videnskabelige formål kan grænseværdier eller nationalt eller internationalt anvendte referenceværdier anvendes, afhængig af formålet.

Body mass index (BMI) (vægt/højde2 [kg/m2 ]) betragtes som det bedste vægt-højde-indeks for både børn og voksne, for så vidt angår uafhængighed af højde, korrelation med kropsfedt og prædiktion af mortalitet (1). Derfor anvendes BMI ofte som et mål for overvægt eller undervægt både i klinisk arbejde og i forskning (2, 3).

BMI varierer betydeligt med alder og køn, især hos børn og unge. Derfor må BMI-målinger hos børn og unge altid sammenlignes med referenceværdier for alder og køn. Der har hidtil ikke eksisteret sammenhængende referenceværdier for BMI hos danske børn, unge og voksne.

Til videnskabelige formål kan der være brug for at sammenligne BMI-målinger fra forskellige lande. Dette kan for eksempel gøres ved at sammenligne BMI for patienter fra forskellige lande med det samme sæt referenceværdier og tage højde for eventuelle nationale forskelle. Til dette brug har The European Childhood Obesity Group anbefalet (2, 4), at man anvender franske (5) eller hollandske (6) referenceværdier.

Vi har tidligere på engelsk publiceret BMI-referenceværdier for 0-45-årige danskere og en sammenligning af disse med andre europæiske referenceværdier for BMI. Her præsenterer vi de danske referenceværdier.

Materiale og metoder
Deltagere

Materialet fremgår af Tabel 1 . Data fra seks undersøgelser, der omfatter 19.774 personer, blev anvendt (7-12). Data fra personer med en fødselsvægt under 2.500 g blev ekskluderet fra materiale Ia og Ib, og data fra børn under seks år blev ekskluderet i materiale IV. Herefter indgik der 35.105 målinger på 19.209 personer i analysen. Materiale Ia var en longitudinal undersøgelse, hvor deltagerne blev målt i aldrene nul og fem uger, fem, ti og 15 måneder, to år og derefter årligt indtil 7-års-alderen (Sundhedsstyrelsens anbefalinger). Der var målinger ved fødslen og i gennemsnit yderligere to sæt målinger på hvert barn. De fleste børn i materiale Ib var målt to gange med ca. et års interval. De øvrige materialer var tværsnitsundersøgelser.

Dataanalyse

Alle referenceværdier blev statistisk modelleret ved udglatning af kurver med LMS-metoden (13). Denne metode opsummerer fordelingen af den afhængig variable (for eksempel BMI) for kovariaten (for eksempel alder) ved dens median (M) og variationskoefficient (S) samt et mål for symmetrien i materialet baseret på den Box-Cox-potens (L), der kræves for at transformere data til en normalfordeling. En BMI-værdi kan konverteres til et SD-score (Z) ifølge ligningerne:

Sidebar placering
Venstrestillet
Billede
Sidebar placering
Venstrestillet

Den nøjagtige decimalalder blev beregnet ud fra fødselsdato og dato for målingen. Højde, vægt og BMI fra materiale I, II og III blev modelleret efter LMS-metoden og i ndbyrdes sammenlignet. Herefter blev materiale I og II lagt sammen, og BMI-referenceværdier blev beregnet med LMS-metoden. For hvert køn blev L-, M- og S- kurver for BMI i materiale I og i det samlede materiale (I og II) udglattet med henholdsvis fem, 15 og otte frihedsgrader, efter at der var foretaget en potenstransformering af alder med 0,1. BMI SD-score for de nyere danske materialer IV og V blev beregnet ud fra de danske BMI-referenceværdier for at vurdere, om BMI havde ændret sig mellem de to perioder. Students t-test blev anvendt til at vurdere, om en gennemsnitlig BMI SD-score var signifikant forskellig fra referenceværdien (dvs. forskellig fra 0). Varianserne blev sammenlignet ved hjælp af F-test. p-værdier under 0,05 blev betragtet som statistisk signifikante. Dataene blev analyseret ved hjælp af SAS-programmet (14).

Resultater

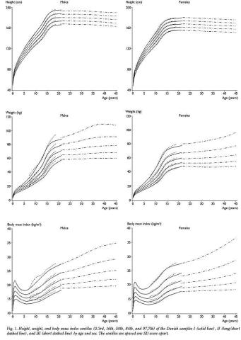
Fig. 1 viser højde, vægt og BMI for materiale I, II og III. Fig. 2 viser BMI-referenceværdier baseret på det samlede materiale (I og II). Kurver for BMI (samt for højde, vægt og hovedomfang) er tilgængelige på Dansk Pædiatrisk Selskabs hjemmeside www.paediatri.dk. Tabeller over L-, M- og S-værdier og databasen for materiale I kan fås hos forfatterne og på afdeling for vækst og reproduktion, Rigshospitalet.

I de nylig undersøgte, danske kohorter var gennemsnitlig BMI signifikant højere end referenceværdierne for børn og unge (materiale IV, gennemsnitlig SD-score 0,19, p = 0,0007), men ikke for voksne (materiale V, gennemsnitlig SD-score 0,01, p = 0,49). Varianserne var ikke signifikant forskellige fra referenceværdiernes varianser.

Diskussion
Tolkning af BMI

Som det fremgår af Fig. 2 varierer BMI hos børn og unge betydeligt med køn og alder. Det er derfor vigtigt at sammenligne BMI-målinger med køns- og aldersspecifikke referenceværdier (2). Hos voksne tiltager BMI med alderen i ndtil midalder (5), og forhøjet BMI er forbundet med øget morbiditet og mortalitet (3). WHO klassificerer et BMI på 18,5-24,9 kg/m2 som normalt, et BMI på 25-29,9 kg/m2 som overvægt og et BMI på 30 kg/m2 eller mere som fedme (3). Tilsvarende grænseværdier kan ikke så let identificeres hos børn, fordi børn har færre sygdomme, der er relateret til overvægt, end voksne (4). The International Obesity Task Forces børnefedmegruppe (IOTF) har dog for nylig præsenteret alders- og kønsspecifikke BMI-grænseværdier for 2-18-årige, som svarer til BMI-værdier på 25 kg/m2 og 30 kg/m2 i 18-års-alderen (15). Anvendeligheden af disse grænseværdier er endnu ikke afklaret.

Kliniske BMI-data for voksne tolkes let ved hjælp af WHO's grænseværdier (3). Kliniske BMI-data for børn og unge kan sammenlignes med de nye IOTF-grænseværdier (15). Væsentlig mere viden kan dog opnås, hvis gentagne BMI-målinger indtegnes på (nationale) BMI-kurver. Ved værdier over de foreslåede IOTF-grænseværdier eller krydsning af percentilkurver opad over medianen bør forebyggelse eller behandling af fedme overvejes.

Til videnskabelige formål kan BMI-data fortolkes på forskellige måder, både for børn og voksne: Man kan beskrive andelen af personer med BMI-værdier svarende til normalvægt, overvægt og fedme. Det kan dog også være væsentligt at afklare, om det samlede materiales BMI adskiller sig fra de nationale referenceværdier. Dette kan gøres ved at beregne gruppens gennemsnitlige BMI SD-score og teste, om den er forskellig fra 0.

BMI-værdier fra forskellige lande kan enten sammenlignes ved hjælp af WHO's eller IOTF's grænseværdier (3), internationalt anerkendte BMI-referenceværdier som de franske (5) eller begge dele, afhængig af om sammenligningen fokuserer på prævalensen af fedme, den gennemsnitlige BMI eller begge dele.

BMI er ikke et godt mål for kropssammensætningen og kan således ikke afgøre, om et forhøjet BMI skyldes kort og bred kropsbygning, øget fedtmasse eller øget muskelmasse (16).

De danske materialers repræsentativitet

Da der ikke fandtes et enkelt stort, repræsentativt materiale, der omfattede alderen fra fødsel til midalder, til brug for vort arbejde, samlede vi data fra forskellige materialer.

Materiale I blev indsamlet med henblik på udarbejdelse af de gældende danske referenceværdier for højde og vægt og anses for at være repræsentativt for danske børn og unge på det tidspunkt, dataene blev indsamlet (7, 8).

Materialerne II og V blev tilfældigt udvalgt fra Østerbroregionen og anses for at være repræsentative for den københavnske befolkning (17). Materiale III omfatter alle 7-18-årige børn af personer i materiale II. Vi antager, at materialet er repræsentativt for børn i København, men dette er ikke undersøgt. Materialerne fra Østerbro er sandsynligvis ikke fuldt repræsentative for den danske befolkning, men så vidt vi ved, er målt højde og vægt ikke tilgængelig for en større gruppe nationalt repræsentative, yngre voksne danskere.

Vi inkluderede Østerbrobørnene (materiale III) i analysen for at undersøge, om børn og unges højde, vægt og BMI var forskellige i det nationale materiale og i Østerbromaterialerne. I den oprindelige nationale vækstundersøgelse (materiale I) var børnene i hovedstaden en anelse højere end børnene i det øvrige land, og vi fandt den samme tendens: Materiale III havde højde-, vægt- og BMI-percentiler, der lå en smule højere end i materiale I (Fig. 1). Forskellene kan skyldes, at børnene i materiale III udelukkende var fra hovedstaden, at de kom fra et område i hovedstaden med bedre socioøkonomiske forhold, en periodeeffekt eller en kombination af disse faktorer.

Materiale IV stammer fra fem skoler i København (11).

Periodeeffekt på BMI

De danske BMI-referenceværdier, vi præsenterer her, er baseret på data indsamlet for 20-30 år siden. Danske børn og unges BMI er sandsynligvis højere nu (3), men for at man kan monitorere den tiltagende hyppighed af overvægt og fedme, vil det være hensigtsmæssigt at anvende de nuværende BMI-referencer i en årrække. De her viste BMI-referenceværdier passer til de for tiden anvendte højde- og vægtreferencer for danske børn og unge (7), idet de er baseret på de samme målinger.

Konklusion

Vi har udarbejdet referenceværdier for BMI for 0-45-årige danskere baseret på målinger foretaget i 1965-1983. Til klinisk brug anbefaler vi, at voksnes BMI sammenlignes med de grænseværdier, der er anbefalet af WHO (3), og at børn og unges BMI plottes ind på en kurve og sammenlignes med nationale referenceværdier samt de grænseværdier, der er anbefalet af IOTF (15). Til videnskabeligt brug anbefaler vi, at BMI sammenlignes med grænseværdier og/eller internationalt anerkendte BMI-referenceværdier, for eksempel de franske (5), afhængigt af forskningens formål.


Karsten Nysom, Kurvej 16, DK-2880 Bagsværd.
E-mail: nysom@dadlnet.dk

Antaget den 4. juni 2002.

H:S Rigshospitalet, Juliane Marie Centret, pædiatrisk klinik II, afsnit 4064 og pædiatrisk ernæringsenhed, afsnit 4094,

Den Kongelige Veterinær- og Landbohøjskole, Forskningsinstitut for Human Ernæring,

Københavns Universitet, Institut for Psykologi, og

Hillerød Sygehus, børneafdelingen.

This article is based on a study first reported in the Int J Obes Relat Metab Disord 2001; 25: 177-84.


  1. Cole TJ. Weight-stature indices to measure underweight, overweight, and obesity. I: Himes JH, ed. Anthropometric assessment of nutritional status. New York: Wiley-Liss, 1991: 83-111.
  2. Poskitt EM. Defining childhood obesity: the relative body mass index (BMI). European Childhood Obesity group. Acta Paediatr 1995; 84: 961-3.
  3. Obesity: preventing and managing the global epidemic. Genève: WHO technical report series no. 894, 2000.
  4. Poskitt EM. Body mass index and child obesity: are we nearing a definition? Acta Paediatr 2000; 89: 507-9.
  5. Rolland-Cachera MF, Cole TJ, Sempé M, Tichet J, Rossignol C, Charraud A. Body Mass Index variations: centiles from birth to 87 years. Eur J Clin Nutr 1991; 45: 13-21.
  6. Cole TJ, Roede MJ. Centiles of body mass index for Dutch children aged 0-20 years in 1980 - a baseline to assess recent trends in obesity. Ann Hum Biol 1999; 26: 303-8.
  7. Andersen E, Hutchings B, Jansen J, Nyholm M. Højde og vægt hos danske børn. Ugeskr Læger 1982; 144: 1760-5.
  8. Andersen E, Andersen H, Hutchings B, Peitersen B, Rosen J, Thamdrup E et al. Højde og vægt hos danske skolebørn 1971-1972. Ugeskr Læger 1974; 136: 2796-802.
  9. The Copenhagen City Heart Study: Østerbroundersøgelsen: a book of tables with data from the first examination (1976-78) and a five year follow-up (1981-83). Scand J Soc Med Suppl 1987; 41: 1-160.
  10. Roed J, Larsen PB, Ibsen KK. Højde hos en population af storkøbenhavnske børn i alderen 7-18 år, 1981 og 1985. Ugeskr Læger 1989; 151: 895-7.
  11. Mølgaard C, Thomsen BL, Prentice A, Cole TJ, Michaelsen KF. Whole body bone mineral content in healthy children and adolescents. Arch Dis Child 1997; 76: 9-15.
  12. Lange P, Parner J, Vestbo J, Schnohr P, Jensen G. A 15-year follow-up study of ventilatory function in adults with asthma. N Engl J Med 1998; 339: 1194-200.
  13. Cole TJ, Green PJ. Smoothing reference centile curves: the LMS method and penalized likelihood. Stat Med 1992; 11: 1305-19.
  14. SAS Institute Inc. SAS/STAT(R) Users Guide, Version 6. 4 ed. Cary, NC: SAS Institute Inc., 1989.
  15. Cole TJ, Bellizzi MC, Flegal KM, Dietz WH. Establishing a standard definition for child overweight and obesity worldwide: international survey. BMJ 2000; 320: 1240-3.
  16. Schaefer F, Georgi M, Wuhl E, Scharer K. Body mass index and percentage fat mass in healthy German schoolchildren and adolescents. Int J Obes Relat Metab Disord 1998; 22: 461-9.
  17. Andersen LB, Vestbo J, Juel K, Bjerg AM, Keiding N, Jensen G et al. A comparison of mortality rates in three prospective studies from Copenhagen with mortality rates in the central part of the city, and the entire country. Copenhagen Center for Prospective Population Studies. Eur J Epidemiol 1998; 14: 579-85.




Sidebar placering
Venstrestillet
Article type
Journal
Magazine
Section
References

<ol class="Litt-list">
<li>Cole TJ. Weight-stature indices to measure underweight, overweight, and obesity. I: Himes JH, ed. Anthropometric assessment of nutritional status. New York: Wiley-Liss, 1991: 83-111.</li>
<li>Poskitt EM. Defining childhood obesity: the relative body mass index (BMI). European Childhood Obesity group. Acta Paediatr 1995; 84: 961-3.</li>
<li>Obesity: preventing and managing the global epidemic. Genève: WHO technical report series no. 894, 2000.</li>
<li>Poskitt EM. Body mass index and child obesity: are we nearing a definition? Acta Paediatr 2000; 89: 507-9.</li>
<li>Rolland-Cachera MF, Cole TJ, Sempé M, Tichet J, Rossignol C, Charraud A. Body Mass Index variations: centiles from birth to 87 years. Eur J Clin Nutr 1991; 45: 13-21.</li>
<li>Cole TJ, Roede MJ. Centiles of body mass index for Dutch children aged 0-20 years in 1980 - a baseline to assess recent trends in obesity. Ann Hum Biol 1999; 26: 303-8.</li>
<li>Andersen E, Hutchings B, Jansen J, Nyholm M. Højde og vægt hos danske børn. Ugeskr Læger 1982; 144: 1760-5.</li>
<li>Andersen E, Andersen H, Hutchings B, Peitersen B, Rosen J, Thamdrup E et al. Højde og vægt hos danske skolebørn 1971-1972. Ugeskr Læger 1974; 136: 2796-802.</li>
<li>The Copenhagen City Heart Study: Østerbroundersøgelsen: a book of tables with data from the first examination (1976-78) and a five year follow-up (1981-83). Scand J Soc Med Suppl 1987; 41: 1-160.</li>
<li>Roed J, Larsen PB, Ibsen KK. Højde hos en population af storkøbenhavnske børn i alderen 7-18 år, 1981 og 1985. Ugeskr Læger 1989; 151: 895-7.</li>
<li>Mølgaard C, Thomsen BL, Prentice A, Cole TJ, Michaelsen KF. Whole body bone mineral content in healthy children and adolescents. Arch Dis Child 1997; 76: 9-15.</li>
<li>Lange P, Parner J, Vestbo J, Schnohr P, Jensen G. A 15-year follow-up study of ventilatory function in adults with asthma. N Engl J Med 1998; 339: 1194-200.</li>
<li>Cole TJ, Green PJ. Smoothing reference centile curves: the LMS method and penalized likelihood. Stat Med 1992; 11: 1305-19.</li>
<li>SAS Institute Inc. SAS/STAT(R) Users Guide, Version 6. 4 ed. Cary, NC: SAS Institute Inc., 1989.</li>
<li>Cole TJ, Bellizzi MC, Flegal KM, Dietz WH. Establishing a standard definition for child overweight and obesity worldwide: international survey. BMJ 2000; 320: 1240-3.</li>
<li>Schaefer F, Georgi M, Wuhl E, Scharer K. Body mass index and percentage fat mass in healthy German schoolchildren and adolescents. Int J Obes Relat Metab Disord 1998; 22: 461-9.</li>
<li>Andersen LB, Vestbo J, Juel K, Bjerg AM, Keiding N, Jensen G et al. A comparison of mortality rates in three prospective studies from Copenhagen with mortality rates in the central part of the city, and the entire country. Copenhagen Center for Prospective Population Studies. Eur J Epidemiol 1998; 14: 579-85.</li>
</ol>

Woodwing Id
263573
English summary

Summary Body mass index of 0- to 45-year-old Danes. Ugeskr L&aelig;ger 2002; 164: 5773-7. Introduction: Our aim was to establish body mass index (weight/height2 [kg/m2 ], BMI) reference values for 0- to 45-year-old Danes. Material and methods: A national sample that was used to generate the current Danish height and weight reference (29,106 measurements in 1965-1977; age 0-21 years; sample I). Four samples from Copenhagen (3391 measurements in 1981-1985; age 7-45 years; samples II and III and 2608 measurements in 1991-1994; age 6-45 years; samples IV and V). With the LMS method for smoothing the curves, Danish BMI reference values by age and sex were constructed from samples I and II. BMI values from two recently examined, but smaller, Danish cohorts (samples IV and V) were compared with the reference values to assess the secular trend in BMI. Results: The Danish BMI reference values are presented graphically. Graphs can be downloaded from http://www. paediatri.dk. In the more recently examined samples, the mean BMI was significantly increased in children and adolescents (SD score 0.19, P=0.0007), but unchanged in young adults (SD score 0.01, P=0.49). Discussion: For clinical purposes, we recommend comparison of the BMI of Danish children and adolescents with the present Danish reference values and new internationally based cut-off values. The BMI of Danish adults should be compared with the WHO cut-off values. Cut-off values or national or internationally used BMI reference values can be used for research, depending on the purpose.

Bib ref
Ugeskr Læger 2002;164(49): 5773-7.
Authors

Karsten Nysom, Christian Mølgaard, Kim Fleischer Michaelsen, Barry Hutchings & Else Andersen

0 likes
Read time
13