Medlem i

13 years 1 month
Indholdselementer
Billede
Sidebar placering
Venstrestillet


Overdreven lakridsindtagelse er en velkendt, men sjælden årsag til hypertension og hypokaliæmi. Opgørelser af incidensen af lakridsinduceret hypertension foreligger ikke, men tilstanden er kasuistisk beskrevet såvel med som uden komplikationer (1-3). Vi præsenterer her en sygehistorie, hvor effekten af lakridsindtagelse blev dokumenteret med døgnblodtrykskurver.

Sygehistorie

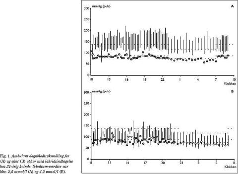
En tidligere rask 21-årig kvinde blev henvist til udredning på grund af et tilfældigt målt forhøjet blodtryk. Patienten var symptomfri og fik ingen medicin fraset p-piller (Microgyn [levonogestrel, ethinylestradiol]). P-pillerne blev ikke seponeret. Klinikblodtrykket ved første konsultation var 160/95 mmHg på begge arme. Døgnblodtryksmåling viste middelblodtryk i dagtimerne på 181/113 mmHg og i nattetimerne 167/103 mmHg (Fig. 1A ). Ved ambulant kontrol fandtes klinikblodtrykket at være 160/110 mmHg. Ekg viste venstresidig hypertrofi med affladede T-takker i II, III og V4 -V6 . Ekkokardiografi viste imidlertid normale forhold. Isotoprenografi med 99m-diethylentriaminpentaacetattechnetium var uden tegn på renovaskulær sygdom. Urinalbuminudskillelsen var normal. S-natrium og S-kreatinin var normale, men S-kalium var 2,5 mmol/l. P-renin (<10 ng/l) og S-aldosteron (<25 pmol/l) var umåleligt lave. Urinudskillelsen af kortisol (40 nmol/døgn), natrium (117 mmol/døgn) og kalium (30 mmol/døgn) var normal.

En uddybende anamnese afslørede, at patienten gennem måneder havde indtaget moderate mængder lakrids (50-100 g dagligt). Hun blev instrueret i at afstå fra lakridsholdige produkter. Seks uger senere var klinikblodtrykket 120/80 mmHg, og døgnblodtryksmålingen viste normale forhold (Fig. 1B ). Samtidig var S-kalium normaliseret (4,2 mmol/l).

Diskussion

Hypertension ledsaget af hypokaliæmi, som ikke skyldes oplagte årsager som diuretikabehandling, er oftest en mineralokortikoid effekt. Hos denne patient kunne primær og sekundær hyperaldosteronisme afkræftes ved fundet af lavt S-aldosteron. Hypertension med hypokaliæmi ledsaget af supprimeret renin og aldosteron giver mistanke om pseudohyperaldosteronisme, altså en non-aldosteron mineralokortikoid effekt. Lakrids indeholder glykyrizinsyre, som via en hæmning af enzymet 11-beta-hydroxysteroid-dehydrogenase (11-beta-HSD) reducerer den normalt forekommende omdannelse af kortisol til kortison i nyrernes distale tubuli og samlerør (4). Kortisol har omtrent samme affinitet til mineralokortikoidreceptoren som aldosteron. Hæmningen af 11-beta-HSD medfører derfor aktivering af mineralokortikoidreceptoren, hvilket resulterer i natriumretention, kaliumtab og hypertension (4). Hypokalæmisk hypertension med lav renin og aldosteron kan endvidere skyldes sjældne lidelser som fx en deoxykortikosteronproducerende tumor eller genetiske defekter i 11-beta-HSD (5). I den pågældende sygehistorie normaliseredes blodtrykket og S-kalium efter ophøret med lakridsindtagelse, og yderligere undersøgelser var derfor ikke nødvendige.

Lakridsinduceret hypertension ses primært ved langvarig indtagelse af betydelige mængder lakrids (>200 g dagligt) (6). Hypertension og hypokaliæmi er imidlertid beskrevet efter lavere daglig indtagelse (<50 g) (3), som det også var tilfældet hos vores patient. Indholdet af glykyrizinsyre varierer betydeligt i forskellige produkter, hvilket vanskeliggør en sammenligning af lakridsmængder. Endvidere findes glykyrizinsyre eksempelvis i tyggegummi og hostesaft, som ofte glemmes i anamnesen (7). Endelig varierer de kliniske effekter af glykyrizinsyre betydeligt fra individ til individ. Årsagen hertil er ikke klarlagt (4).

Lakridsindtagelse er en let korrigerbar årsag til hypertension. Detaljerede oplysninger om lakridsindtagelse bør derfor indgå rutinemæssigt i anamnesen hos hypertensionspatienter, især ved ledsagende hypokaliæmi. Blodtrykket og kaliumhomeostasen normaliseres nogle uger efter ophør med lakridsindtagelse, mens renin forbliver supprimeret i flere måneder. Vanligvis stilles diagnosen ved hjælp af anamnesen, ovennævnte hormonanalyser samt gentagne målinger af klinikblodtrykket. Ambulant døgnblodtryksmåling før og efter ophør med lakridsindtagelse kan bidrage med en objektiv dokumentation for effekten af lakrids på blodtrykket, hvilket kan være en hjælp, hvis klinikblodtrykket er svingende, eller hvis der er mistanke om et element af white coat hypertension . Døgnblodtrykskurver kan endvidere bruges i pædagogisk øjemed til at overbevise patienten om nødvendigheden af fortsat afholdenhed fra lakrids.


Finn Gustafsson , kardiologisk-endokrinologisk klinik E, H:S Frederiksberg Hospital, DK-2000 Frederiksberg. E-mail: finng@dadlnet.dk

Antaget den 3. april 2002.

H:S Frederiksberg Hospital, kardiologisk-endokrinologisk klinik E og klinisk-fysiologisk/nuklearmedicinsk afdeling.



Sidebar placering
Venstrestillet
Article type
Journal
Magazine
Section
References

<ol class="Litt-list">
<li>Koster M, David GK. Reversible severe hypertension due to licorice ingestion. N Engl J Med 1968; 278: 1381-3.</li>
<li>Folkersen L, Knudsen NA, Teglbjærg PS. Lakrids. Ugeskr Læger 1996; 158: 7420-1.</li>
<li>Russo S, Mastropasqua M, Mosetti MA, Persegani C, Paggi A. Low doses of liquorice can induce hypertension encephalopathy. Am J Nephrol 2000; 20: 145-8.</li>
<li>Van Uum SH, Hermus AR, Smits P, Thien T, Lenders JW. The role of 11 beta-hydroxysteroid dehydrogenase in the pathogenesis of hypertension. Cardiovasc Res 1998; 38: 16-24.</li>
<li>Christensen TH, Kaae H-H, Ibsen H. Mineralokortikoid hypertension. Ugeskr Læger 1999; 161: 5800-3.</li>
<li>Strandgaard S, Haunsø S. Hypertensio arterialis. I: Lorenzen I, Bendixen G, Hansen NE, eds. Medicinsk kompendium. København: Nyt Nordisk Forlag, 1999: 1268-301.</li>
<li>De Klerk GJ, Nieuwenhuis MG, Beutler JJ. Hypokalaemia and hypertension associated with use of liquorice flavoured chewing gum. BMJ 1997; 314: 731-2.</li>
</ol>

Woodwing Id
247681
Bib ref
Ugeskr Læger 2002;164(42): 4918-9.
Authors

Finn Gustafsson, Jamal A. Hanash & Per Rossen Hildebrandt

0 likes