Medlem i

12 years 10 months
Indholdselementer

Med 4.263 nye tilfælde i 2020 indhentede man ikke forårets signifikante incidensfald pga. COVID-19. Den regionale variation i nye tilfælde pr. 100.000 voksne mænd var faldende.

Indlæggelsesfrekvensen efter prostatabiopsier steg bekymrende i samtlige regioner og endte højest i Region Hovedstaden med 7% i ugen efter biopsien.

Det anses for betydende for behandlingskvaliteten, at den operative behandling er radikal, og at der ikke efterlades cancer uden for den kirurgiske margin. På landsplan havde 11% af patienter med intraprostatiske (pT2) tumorer positiv kirurgisk margin (R+). Dette er lavere end de tidligere år, og standarden på 15% er opfyldt nationalt. Den regionale variation spænder dog fra 6% til 18%.

På landsplan havde 40% af patienter med ekstraprostatiske (pT3) tumorer positiv margin, og standarden (≤ 30%) var ikke opfyldt i nogen af landets regioner. Antallet af R+ ved cT3-tumorer har i de sidste par år haft en fuldstændig ensartet udvikling, og den tidligere store regionale variation er i det sidste tiår næsten forsvundet. Denne andel må i forbindelse med en fortsat mere aggressiv kirurgisk behandlingsstrategi antages at afspejle et naturligt niveau.

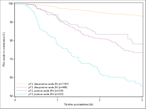
Særkapitlets analyse af PSA-recidivfri overlevelse demonstrerer tydeligt den kortsigtede prognostiske betydning af efterladt tumorvæv (Figur 1). Samtidig demonstreres det, at patienter opereret for pT3-tumorer med frie marginaler hyppigere udvikler biokemisk recidiv end patienter med intraprostatiske (pT1-2) R+-tumorer. Behandlingskvaliteten, her udtrykt ved regional variation af R+-status, bør naturligt lede til refleksioner på de opererende centre.

Figur 1. Varighed til PSA-recidiv efter prostatektomi i relation til stadie og kirurgisk marginstatus:

Sidebar placering
Venstrestillet
Billede
Note: 2 observationer lost to follow-up.Note: Region Midtjylland udeladt pga. manglende PSA-målinger.
Caption
Note: 2 observationer lost to follow-up.Note: Region Midtjylland udeladt pga. manglende PSA-målinger.
Sidebar placering
Venstrestillet

Til trods for en reduktion fra 13% til 11% af genindlæggelser inden for 30 dage postoperativt er standarden (≤ 10%) knap nok opfyldt på landsplan. På regionsniveau varierer genindlæggelsesfrekvensen fra 5% i Region Nordjylland til 13% i Region Hovedstaden og Region Sjælland.

En forlænget postoperativ indlæggelse (> 3 døgn) ligger på landsplan stabilt på 3%. Standarden på ≤ 5% er dermed igen opfyldt på landsplan, og samtlige afdelinger bortset fra Aarhus (6%) levede op hertil.
Med et fald i 2020 på knap 10% udgjorde antallet af primært strålebehandlede patienter 569, hvilket svarer til halvdelen af antallet af opererede patienter. Antallet er dog usikkert og givetvis for lavt, da populationen identificeres gennem programmering af det samlede antal strålebehandlinger (her 36+ behandlinger), frem for at blot en enkelt af behandlingerne blev kodet med den anviste behandlingsspecifikke kode for kurativ behandling.

Patientkarakteristika blandt de primært strålebehandlede er uændrede over tid, og medianalder, tumorstadie og risikofordeling ligger uændret signifikant højere sammenlignet med de opererede patienter. Behandlingen gives med betydelig regional variation med næsten tre ganges forskel mellem Region Nordjylland (15,0 pr. 100.000 mænd) og Region Sjælland (42,6 pr. 100.000 mænd).

Patienter med behandlingsmulighed bør diskuteres på en MDT-konference nær diagnosetidspunktet. Her fandtes stor variation mellem centrene, som ud over en bevidst prioriteringsstrategi måske også kan skyldes forskelle i af MDT-konferencens registreringer.

Årsrapporten og resuméet er udarbejdet af RKKP's Viden­center og formanden for DAPROCAdata i sam­arbejde med styregruppen. Årsrapporten har været i review.

Hele rapporten kan læses på sundhed.dk

Sidebar placering
Venstrestillet
Article type
Journal
Section
Woodwing Id
52125
Fil
Subtitle
På baggrund af data fra LPR3, Landsregisteret for Patologi, påbegyndt brug af data fra LABKA og enkelte indtastede data indeholder årsrapporten en behandlingsoversigt og indikatoranalyse samt et særkapitel med bl.a. biokemiske behandlingsresultater.
Authors

Michael Borre, Lise Bentzen, Steinbjørn Hansen, Henrik Jakobsen, Hans-Erik Wittendorff, Astrid Petersen, Johanna Elversang, Ole Jensen, Heidi Jeanet Larsson, Anne Zierau Kudsk Ragner & Henrik Møller. Interessekonflikter ingen

0 likes