Medlem i

7 years 7 months
Indholdselementer
Fakta

Abstract

Introduction: Off-label use of the prostaglandin-E1 analogue misoprostol has become standard practice when inducing labour. In Denmark, a low-dosage misoprostol regimen is common. The regimen consists of one 25 µg application on the first day of induction. The registered prostaglandin-E2 analogue dinoprostone is used in three and 6 mg doses. This study compared induction procedures with dinoprostone and misoprostol in terms of induction time, foetal outcome and maternal outcome.

Material and methods: This retrospective study included 1,645 induced deliveries from two periods: 2003-2005, when dinoprostone was standard treatment (n = 635), and 2008-2010, when misoprostol was standard treatment (n = 633). We evaluated the induction method, outcomes and confounders using Kaplan-Meier, Cox and logistic regression analyses.

Results: In the first 24 h, 38% and 59% of women delivered in the misoprostol and dinoprostone groups, respectively. Compared with dinoprostone, misoprostol was associated with a longer induction time (hazard ratio (HR) = 0.79, 95% confidence interval (CI): 0.69–0.90). Both regimens showed similar risks of caesarean section (odds ratio (OR) = 0.88, 95% CI: 0.64-1.12), rates of meconium-stained amniotic fluid (OR = 0.85, 95% CI: 0.63-1.15), 5-min Apgar scores < 7 (OR = 1.73, 95% CI: 0.34-8.75), and transfers to neonatal intensive care units (OR = 0.64, 95% CI: 0.38-1.08).

Conclusion: Low-dosage misoprostol required more time than dinoprostone to induce labour, but the two drugs were equally safe in terms of the risk of caesarean section and foetal outcomes.

Funding: The Danish Ministry of Research and Innovation (#10-093833).

Trial registration: The Danish Data Protection Agency (#2011-41-5794).

Ombryd tekst
0
Brødtekst

Abstract

Introduction: Off-label use of the prostaglandin-E1 analogue misoprostol has become standard practice when inducing labour. In Denmark, a low-dosage misoprostol regimen is common. The regimen consists of one 25 µg application on the first day of induction. The registered prostaglandin-E2 analogue dinoprostone is used in three and 6 mg doses. This study compared induction procedures with dinoprostone and misoprostol in terms of induction time, foetal outcome and maternal outcome.

Material and methods: This retrospective study included 1,645 induced deliveries from two periods: 2003-2005, when dinoprostone was standard treatment (n = 635), and 2008-2010, when misoprostol was standard treatment (n = 633). We evaluated the induction method, outcomes and confounders using Kaplan-Meier, Cox and logistic regression analyses.

Results: In the first 24 h, 38% and 59% of women delivered in the misoprostol and dinoprostone groups, respectively. Compared with dinoprostone, misoprostol was associated with a longer induction time (hazard ratio (HR) = 0.79, 95% confidence interval (CI): 0.69–0.90). Both regimens showed similar risks of caesarean section (odds ratio (OR) = 0.88, 95% CI: 0.64-1.12), rates of meconium-stained amniotic fluid (OR = 0.85, 95% CI: 0.63-1.15), 5-min Apgar scores < 7 (OR = 1.73, 95% CI: 0.34-8.75), and transfers to neonatal intensive care units (OR = 0.64, 95% CI: 0.38-1.08).

Conclusion: Low-dosage misoprostol required more time than dinoprostone to induce labour, but the two drugs were equally safe in terms of the risk of caesarean section and foetal outcomes.

Funding: The Danish Ministry of Research and Innovation (#10-093833).

Trial registration: The Danish Data Protection Agency (#2011-41-5794).

The use of vaginal prostaglandins for induction of labour is well established [1]. The synthetic prostaglandin E1 (PGE1) analogue misoprostol was originally developed for treatment or prevention of peptic ulcers. Later, misoprostol was found to increase uterine contractions and accelerate cervical ripening [2]. Although widely used, misoprostol is not registered for labour induction; however, its use is currently approved by the Danish Medicines Agency.

A Cochrane review from 2010 [1] concluded that vaginal misoprostol was equally or more effective than vaginal dinoprostone; however, the difference was only evident in dosage regimens above 25 µg administered every 4 h and with a maximum daily dose of 100-150 µg. In Danish labour wards, misoprostol is used more cautiously, possibly due to its off-label status. At the time of this study, the recommendation was a single dose of 25 µg for the first day of induction, followed by either 25, 50, 75 or 100 µg for the following days, based on the cervical ripening progress [3]. The Cochrane review only included two studies that used less than 50 µg in the first 6 h [4, 5]; consequently, those findings cannot be extrapolated to Danish practice.

The registered drug for induction of labour is the PGE2-analogue dinoprostone. This drug has shortcomings, primarily its high price and specific storage demands [6]. Due to these drawbacks, misoprostol has become the standard choice of drug for induction in Denmark. Other methods are preferred only for twin pregnancies and women with previous uterine scars [7].

The primary aim of this study was to compare the times required from induction of labour to delivery between the two regimens. Furthermore, as secondary outcomes, we evaluated the risk of caesarean section, the occurrence of meconium-stained amniotic fluid, the 5-min Apgar score and the number of transfers to neonatal units.

MATERIAL AND METHODS

In this retrospective study, we retrieved data from 2003 to 2010 for women who had undergone labour induction at the Department of Obstetrics and Gynaecology at Hillerød Hospital. From the year 2000, the Department had used electronic registration for to record labour charts. We retrieved all data for women induced with vaginal prostaglandin. The coded records of vaginal misoprostol or dinoprostone were verified in a manual chart review. Charts were grouped by year of delivery and listed according to the Danish ten-digit central personal identification number system.

Among the records of vaginal prostaglandin administration, records were excluded when prostaglandin had been used to induce a second-trimester abortion (misoprostol n = 4; dinoprostone n = 2), birth after an intrauterine foetal death (n = 14; n = 19) and after a spontaneous primary rupture of membranes (n = 61; n = 98).

From 2008 to 2010, misoprostol was the standard prostaglandin for induction of labour. Records from that period were excluded when dinoprostone had been used (n = 87). We reviewed 799 charts and 633 met the inclusion criteria. To obtain a comparable group size for the period from 2003 to 2005, we identified 846 records for women induced with dinoprostone. After exclusion of twin pregnancies (n = 34) and women with a previous cesarean section (n = 58), a total of 635 women were included in the dinoprostone group.

From each chart we obtained maternal age, body mass index (BMI), smoking status, parity and gestational age as determined by ultrasound. The exact time of induction was defined as the time when the first prostaglandin dose was given. We recorded time of administration, dose, cervical length, dilatation, additional use of oxytocin and epidural analgesia. We also evaluated artificial ruptures of membranes performed either before or after active labour (≥ 4 cm dilatation with regular contractions). Finally, we recorded the time and mode of delivery, including indications for assisted delivery.

Induction failure was defined as an unsuccessful attempt to induce active labour. Emergency caesarean sections for foetal asphyxia or bleeding were censored as failed inductions.

The primary outcome was time elapsed from induction to delivery.

The secondary outcomes were the rates of caesarean sections, meconium-stained amniotic fluid, 5-min Apgar scores < 7, transfers to the neonatal intensive care unit, post-partum haemorrhages (> 500 ml, assessed in a clinical evaluation by the midwife), maternal infections (endometritis, based on clinical evaluation at labour and in the postnatal ward) and perineal ruptures (grades 3-4). We also evaluated the mean birthweight.

The study was approved by The Danish Data Protection Agency (case 2011-41-5794) and the Danish Committee System on Health Research Ethics (case H-1-2013-FSP-13).

Statistical methods

The group characteristics were compared with the χ2-test. Kaplan-Meier plots and log-rank tests were used to estimate the likelihood of birth in the two groups. A subgroup analysis was carried out in primi- and multiparous women. Cox regression analyses were used to compare hazard ratios (HRs) of the time of induction to delivery between groups in univariate and multivariate analyses with adjustments for potential confounders. Interactions were tested between the induction time and confounders. The proportional hazards assumption was tested for all Cox models. Logistic regressions were fitted to estimate the odds ratios of maternal and foetal outcomes in univariate and multiple logistic regressions.

Statistical analyses were performed with the SPSS (PASW v. 18.0.0) software.

Trial registration: The Danish Data Protection Agency (#2011-41-5794).

RESULTS

The analysis included 1,268 women; 633 in the misoprostol group and 635 in the dinoprostone group. Indications for the induction of labour were defined as “post-date”: a gestation of 41 + 3 weeks or more; “PE/hypertension”: preeclampsia or hypertensive distress; “other maternal health conditions”: physiological effects from pregnancy like cholestasis, pain, sleeping disturbances and itching; ”gestational diabetes or suspected macrosomic foetus”; “foetal distress”; and “other”: including any remaining indications for induction. The “post-date” indication was less common in the misoprostol than in the dinoprostone group (Table 1).

The misoprostol group had higher BMIs, fewer smokers and lower gestational ages than the dinoprostone group.

The prostaglandin administrations varied between the two groups on the first day of induction. In the misoprostol group, 99% of women were induced with a single dose of 25 µg on the first day; in the dinoprostone group, the dose varied from 3 mg to 6 mg. On the second day of induction, a clinical estimation of progression dictated varying doses of misoprostol (Table 1). In both groups, 18 induction attempts were considered failures.

Cervical ripeness was more advanced in the misoprostol than in the dinoprostone group (Table 1). The use of oxytocin was similar between groups, but additional induction methods, including balloon catheter, artificial rupture of membranes and epidural analgesia were more common in the misoprostol than in the dinoprostone group.

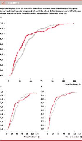
Within the first 24 h, 38% delivered in the misoprostol group and 59% delivered in the dinoprostone group. This pattern was reversed over time; at the end of the third day, 7.9% in the dinoprostone group and 4.8% in the misoprostol group had not delivered (Figure 1 A). Similar results were found in analyses stratified by primi- and multiparity (Figure 1, B and C). Log-rank tests compared the likelihood of birth in the entire cohort and the cohort stratified by parity. All analyses showed significant differences between groups (p < 0.05). The mean induction times were 33 h for misoprostol and 26 h for dinoprostone.

The HR of birth was 0.82 (95% confidence interval (CI) 0.72-0.92), which indicated a reduced rate in the misoprostol groups compared to the dinoprostone group (Table 2). The misoprostol rate remained reduced after adjusting for covariates (HR = 0.79 (95% CI: 0.69-0.90)). The same differences between induction regimens were found when stratified by induction indication or by gestational age (Table 1).

The groups had similar modes of delivery (Table 3) and indications for surgical interventions. Interventions were recorded as asphyxia, bleeding, disproportion, dystocia, maternal request or other.

Logistic regressions showed no differences in rates of cesarean section in uni- and multivariate analyses (Table 2). Emergency caesarean sections were more common with dinoprostone than with misoprostol, but the difference was not significant (p > 0.05, n = 101 and n = 88, respectively). The groups had comparable cervical dilatations before caesarean sections (0 cm, 0-1.5 cm, or more than 1.5 cm; p > 0.05).

The numbers of Apgar scores < 7 were similar between groups. Meconium-staining and neonatal care unit transfers were significantly less frequent with misoprostol than with dinoprostone in the univariate analyses; however, the difference was not significant in multiple logistic regression analyses (Table 2).

Occurrences of post-partum infection, haemorrhage and perineal ruptures were comparable between the two groups. Mean birth weights were also comparable: 3,692 g (standard deviation (SD) = 609) with dinoprostone and 3,635 g (SD = 529) with misoprostol.

No uterine rupture was observed in the entire cohort.

DISCUSSION

The low-dosage misoprostol regimen appeared to be less effective than dinoprostone for induction of labour even after adjustment for covariates. This was evident for both primi- and multiparous women. In our setting, the dose of misoprostol was altered on the second day of induction to allow a range of 25 to 100 µg per day in the remaining induction period. Consequently, the likelihood of delivery was more favourable with misoprostol at the end of the third day. In an earlier Danish study [3], administration of either 25 µg (n = 100) or 50 µg (n = 112) misoprostol was compared with 3 mg (n = 108) dinoprostone during the first 24 h in a retrospective cohort. The mean induction times were 38, 25 and 35 h, respectively, which is consistent with the findings observed in our study.

Previous studies reported that the efficacy of misoprostol by far exceeded that of dinoprostone [1], but most studies used higher dosages than those of the present study. Typically, 25 to 50 µg of misoprostol is administered every 4-6 h [8-11]. Induction is ceased upon active labour [10] or after a daily limit of 100-150 µg of misoprostol [12]. Consequently, we expected longer induction times with a low-dosage regimen in the first 24 h. Tan et al [13] reported equivalent birth rates within 24 h with dinoprostone 3 mg twice daily and misoprostol 50 µg every 6 h with a limit of 100 µg. A third group reported a significantly longer induction time during the first 24 h with a single dose of 25 µg misoprostol [14].

The differences in BMI and smoking rates between groups were expected due to the different sampling periods. Furthermore, indications for induction varied; the “post-date” indication occurred more frequently during the period that dinoprostone was administered.

Caesarean section rates were comparable between groups, which is consistent with other studies [14, 15]. Overall, we found similar maternal adverse effects between groups, including caesarean sections, post- partum haemorrhages, perineal ruptures and post- partum infections.

Foetal outcomes were also comparable between groups which is consistent with most published studies [1, 13]. We found a tendency of less frequent meconium-stained amniotic fluid and transfers to the neonatal intensive care unit in the misoprostol group than in the dinoprostone group. This contrasted with findings cited in the Cochrane review [1]. However, higher doses were used in the Cochrane review than in our low-dosage regimen; this might explain our finding of a tendency toward healthier neonates. After adjusting for covariates, however, no statistical difference was evident.

This retrospective study described everyday clinical practice. One limitation of the study was that we compared women from different time periods; thus, some biases were unavoidable. Our use of multivariate and subgroup analyses contributed to minimizing the biases. The study did not allow for assessment of uterine hyperstimulation, a well-known complication associated with the use of misoprostol. However, the proportion of caesarean sections performed due to indications of imminent asphyxia was similar between groups; this suggested no major differences in complications.

Only 25 µg of misoprostol was used in the initial 24 h; we chose a cautious approach due to the current off-label use. The off-label use may explain the large diversity of regimens observed internationally. In addition, off-label use may reduce compliance and induce a sense of insecurity among women undergoing induction. The use of misoprostol for labour induction is currently undergoing formal approval in Denmark.

We found that labour induction with a low dosage of misoprostol was safe, but not as effective as the conventional dinoprostone regimen as far as time to delivery is concerned. However, the Danish induction regimen with misoprostol may have been overly cautious. In international studies, the administration of higher doses was shown to be more efficient without compromising maternal or foetal safety. Recently, the Danish Society of Obstetricians and Gynaecologists (DSOG) published an official guideline recommending the use of 50 µg on the first day of induction for vaginal misoprostol applications.

Correspondence: Jesper Friis Petersen, Department of Gynaecology and Obstetrics, Hillerød Hospital, 3400 Hillerød, Denmark. E-mail: jesperfriis@dadlnet.dk

Accepted: 17 July 2013

Conflicts of interest:Disclosure forms provided by the authors are available with the full text of this article at www.danmedj.dk

Acknowledgements: We would like to express our gratitude to Jørgen G. Berthelsen for assistance with the identification of the women undergoing induction of labour.

Sidebar placering
Venstrestillet
Billede
Sidebar placering
Venstrestillet
Sidebar placering
Venstrestillet
Billede
Sidebar placering
Venstrestillet
Sidebar placering
Venstrestillet
Billede
Sidebar placering
Venstrestillet
Sidebar placering
Venstrestillet
Billede
Sidebar placering
Venstrestillet
Sidebar placering
Venstrestillet
Billede
Sidebar placering
Venstrestillet
Article type
Journal
Magazine
References
  1. Hofmeyr GJ, Gülmezoglu AM, Pileggi C. Vaginal misoprostol for cervical ripening and induction of labour. Cochrane Database Syst Rev 2010;(10):CD000941.

  2. Tang OS, Gemzell-Danielsson K, Ho PC. Misoprostol: pharmacokinetic profiles, effects on the uterus and side-effects. Int J Gynaecol Obstet 2007;99(Suppl 2):S160-7.

  3. Andresen DM, Jensen JS, Uldbjerg N. Misoprostol − a safe preparation for induction of labor?. Ugeskr Læger 2006;168:3711-4.

  4. Khoury AN, Zhou QP, Gorenberg DM et al. A comparison of intermittent vaginal administration of two different doses of misoprostol suppositories with continuous dinoprostone for cervical ripening and labor induction. J Matern Fetal Med 2001;10:186-92.

  5. Wing DA, Ortiz-Omphroy G, Paul RH. A comparison of intermittent vaginal administration of misoprostol with continuous dinoprostone for cervical ripening and labor induction. Am J Obstet Gynecol 1997;177:612-8.

  6. Church S, Van Meter A, Whitfield R. Dinoprostone compared with misoprostol for cervical ripening for induction of labor at term. J Midwifery Womens Health 2009;54:405-11.

  7. Danish Society of Obstetrics and Gynecology. Sandbjerg guidelines: Igangsættelse af fødsel. dsog.dk (May 1 2013).

  8. Austin SC, Sanchez-Ramos L, Adair CD. Labor induction with intravaginal misoprostol compared with the dinoprostone vaginal insert: a systematic review and metaanalysis. Am J Obstet Gynecol 2010;202:624 e1-9.

  9. Ayaz A, Shaukat S, Farooq MU et al. Induction of labor: a comparative study of intravaginal misoprostol and dinoprostone. Taiwan J Obstet Gynecol 2010;49:151-5.

  10. Ozkan S, Caliskan E, Doger E et al. Comparative efficacy and safety of vaginal misoprostol versus dinoprostone vaginal insert in labor induction at term: a randomized trial. Arch Gynecol Obstet 2009;280:19-24.

  11. Saeed GA, Fakhar S, Nisar N et al. Misoprostol for term labor induction: a randomized controlled trial. Taiwan J Obstet Gynecol 2011;50:15-9.

  12. Surbek DV, Boesiger H, Hoesli I et al. A double-blind comparison of the safety and efficacy of intravaginal misoprostol and prostaglandin E2 to induce labor. Am J Obstet Gynecol 1997;177:1018-23.

  13. Tan TC, Yan SY, Chua TM et al. A randomised controlled trial of low-dose misoprostol and dinoprostone vaginal pessaries for cervical priming. BJOG 2010;117:1270-7.

  14. van Gemund N, Scherjon S, LeCessie S et al. A randomised trial comparing low dose vaginal misoprostol and dinoprostone for labour induction. BJOG 2004;111:42-9.

  15. Calder AA, Loughney AD, Weir CJ et al. Induction of labour in nulliparous and multiparous women: a UK, multicentre, open-label study of intravaginal misoprostol in comparison with dinoprostone. BJOG 2008;115:1279-88.

Woodwing Id
1
Fil
Conflict of interest
Authors workplaces
Department of Gynaecology and Obstetrics, Hillerød Hospital
Bib ref
Dan Med J 2013;60(9):A4706
Article number
A4706
Authors

Jesper Friis Petersen, Thomas Bergholt & Ellen Christine L. Løkkegaard

0 likes