Medlem i

7 years 7 months
Indholdselementer
Fakta

Abstract

Introduction: This study reports our experience with microscopic phonosurgery (PS) of benign lesions of the vocal folds.

Material and methods: During the five-year period from 2003 to 2007, a total of 97 patients had PS for vocal fold polyps (n = 63), vocal fold cysts (n = 17), vocal fold nodules (n = 12) or vocal fold oedema (n = 5). Their average age was 41 years; 62% were women and 69% were smokers. Post-operative voice therapy was given to 45 patients. Post-operative clinical evaluation was available for data analysis in 89 patients (92%). Voice quality was assessed using the Multi-Dimensional Voice Program (MDVP), video-stroboscopy and self-reported assessment. The median follow-up time was 3.9 months.

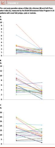
Results: Post-operative voice quality was reported as unaffected in 85%, improved but moderately affected in 13%, and severely affected in one patient with a cyst and vocal fold sulcus. Unaffected voice quality was obtained in 91% of patients not receiving voice therapy and in 77% of patients receiving voice therapy. All lesions except one polyp in the anterior commissure were completely removed. MDVP was performed both pre- and post-operatively in 22% of patients. The effect was a significant improvement of jitter (p = 0.013), shimmer (p ≤ 0.001) and Soft Phonation Index (p = 0.013).

Conclusion: PS is a quick and effective treatment with uncommon and transient post-operative complications. Objective assessment of the voice pre- and post-operatively should be used consistently and applied in controlled studies evaluating the additional impact of pre- and post-operative voice therapy.

Funding: not relevant.

Trial registration: not relevant.

Ombryd tekst
0
Brødtekst

Abstract

Introduction: This study reports our experience with microscopic phonosurgery (PS) of benign lesions of the vocal folds.

Material and methods: During the five-year period from 2003 to 2007, a total of 97 patients had PS for vocal fold polyps (n = 63), vocal fold cysts (n = 17), vocal fold nodules (n = 12) or vocal fold oedema (n = 5). Their average age was 41 years; 62% were women and 69% were smokers. Post-operative voice therapy was given to 45 patients. Post-operative clinical evaluation was available for data analysis in 89 patients (92%). Voice quality was assessed using the Multi-Dimensional Voice Program (MDVP), video-stroboscopy and self-reported assessment. The median follow-up time was 3.9 months.

Results: Post-operative voice quality was reported as unaffected in 85%, improved but moderately affected in 13%, and severely affected in one patient with a cyst and vocal fold sulcus. Unaffected voice quality was obtained in 91% of patients not receiving voice therapy and in 77% of patients receiving voice therapy. All lesions except one polyp in the anterior commissure were completely removed. MDVP was performed both pre- and post-operatively in 22% of patients. The effect was a significant improvement of jitter (p = 0.013), shimmer (p ≤ 0.001) and Soft Phonation Index (p = 0.013).

Conclusion: PS is a quick and effective treatment with uncommon and transient post-operative complications. Objective assessment of the voice pre- and post-operatively should be used consistently and applied in controlled studies evaluating the additional impact of pre- and post-operative voice therapy.

Funding: not relevant.

Trial registration: not relevant.

Phonosurgery (PS) using the operating microscope has replaced simple resections of benign lesions on the vocal folds like polyps, cysts and nodules in order to optimize the preservation or restoration of the voice [1]

Benign lesions of the vocal folds are classified according to the tissue layer of origin and their anatomical position [2, 3]. Reinke oedema constitutes the largest group of these cases, typically female smokers after the menopause. They generally present with a uniform picture of increasing hoarseness over years. The treatment of these patients will therefore be dealt with separately.

Polyps are extensions from the lamina propria and can be broad-based or have a narrow stem. They are most often unilateral and located on the anterior third of the vocal folds, Figure 1A-B. Polyps are known to interfere with phonation more than nodules, depending on their size and location and the patients’ ability to compensate [4]. Their colour varies from red to translucent, and the mucosal wave is normally present or increased [5].

Cysts are located to the lamina propria. Two types of cysts are classically described: 1) mucous retention cysts and 2) epidermoid/keratin cysts. They appear as opaque, spheroid masses underlying the epithelium. They are often unilateral and with or without a contralateral oedema, Figure 1C-D. The vocal fold mucosal wave is reduced or fully absent, and the amplitude of vibration is moderately to severely decreased [5, 6].

Like polyps, nodules are also extensions from the lamina propria. However, nodules are typically seen as small, firm elevations located between the anterior and the mid third of the true vocal folds. They are bilateral, symmetrical, appear white to opaque and are immobile during phonation. Nodules can also affect the mucosal wave of the vocal folds depending on their size and the degree of associated oedema [5]. In some cases, the nodules are only small localized oedemas which may wax and vain in relation to voice abuse, Figure 1E-F.

Patients suffering from these benign lesions are frequently offered voice therapy. If maximal intervention with voice therapy does not achieve satisfactory improvement of the voice, the patients may be considered for PS [5].

The results of PS in these benign vocal fold lesions have not previously been published in Danish literature. We report our experience with PS based on a retrospective five-year analysis of patient records.

MATERIAL AND METHODS

xxxxx

This study included all adult patients registered with the treatment code DQB10 and ICD diagnosis codes DJ38.1 (vocal fold polyps) or DJ38.2 (vocal fold nodules) at a single referral centre from 2003 to 2007, both years included. A total of 121 patients were identified, but careful review of the medical records and video-stroboscopies performed in all patients revealed that 24 patients had been incorrectly registered (mainly Reinke oedema), which left 97 available for the present study. Their mean age was 41 years (range 19-78 years) and 62% of the patients were women. Only 89 patients (92% of the operated patients) showed up for post-operative follow-up.

All patients underwent PS, which was performed using micro-laryngoscopy with the instrumental technique described by Kleinsasser [1]. The vast majority of the patients were operated using jet ventilation with a metal tube attached inside the laryngoscope with the tip of the metal tube placed just below the vocal folds. Jet ventilation was not used in patients with a difficult anatomy or severe and untreated oesophageal reflux with a risk of aspiration.

The authors divided the reported voice quality into three categories: severe hoarseness, moderate hoarseness or normal voice based on the information from the medical records. A normal voice would include slightly hoarse voices not noticed by the patient.

The Multi-Dimensional Voice Program (MDVP) was occasionally used to evaluate the voice quality. The MDVP analysis was performed on a sustained /a/ for a minimum of three seconds. The best (most normal) recording of three was used to calculate jitter (perturbations of frequency, normal < 1.04%) reflecting compensatory laryngeal muscle tensions, shimmer (perturbations of amplitude, normal < 3.81%) reflecting in-appropriate glottal closure and Soft Phonation Index (SPI) (the ratio between harmonic sound energy over and below 1,600 Hz, normal < 14.12 arbitrary units) reflecting the efficiency of glottal closure [7-9]. Comparison of these parameters was performed with a paired t-test.

Pre- and post-operative voice therapy, smoking status, time from first visit in the outpatient clinic to surgery, post-operative follow-up time and post-operative complications were recorded.

Trial registration: not relevant.

RESULTS

Based on a review of the video-strobocopies, the diagnosis of the 97 patients was vocal fold polyps in 63 (65%), vocal fold cysts in 17 (18%), vocal fold nodules in 12 (12%) and localized vocal fold oedema in five patients (5%).

Of the 89 patients with follow-up, 69 patients (78%) complained preoperatively of severe and 20 patients (22%) of moderate hoarseness. Post-operatively, 76 patients (85%) reported normal voice, 12 patients (13%) reported that their voice had improved from being severely to moderately hoarse, while one patient with a cyst and vocal fold sulcus (Figure 1C-D) was severely hoarse (Table 1). All 55 patients with polyps were either less hoarse (5/55 = 9%) or not hoarse at all (50/55 = 91%); the same pattern was seen in patients with nodules.

Video-stroboscopy was only performed in 82 patients at follow-up (Figure 1A-F). All vocal fold lesions – except one with a polyp in the anterior commissure requiring a re-operation – were completely removed. In 68 patients with normal post-operative video-stroboscopic findings, 65 reported normal voice, Table 1. The remaining three patients had hyperfunctional dysphonia. Among the 14 patients with abnormal findings, only eight patients were hoarse, Table 1. The six patients with normal voices had small oedemas on the edge of the vocal folds. Irregularities of the margins of the vocal folds, either as small defects or as stiffness, were found in six of the eight patients with hoarseness, one patient still had a polyp (see above) and one had persistent hyperemia.

MDVP was performed in 38 patients before and 31 patients after surgery, but only both pre- and post-operatively in 20 patients (20/89 = 22%). Of these 20 patients, 19 (95%) had improvement of the voice quality and 15 also had normal post-operative video-stroboscopic findings. Jitter improved from 2.3% preoperatively to 1.2% post-operatively (p = 0.013). Shimmer improved from 5.8% to 3.3% (p < 0.001), and SPI improved from 14.7 to 9.9 (p = 0.013), Figure 2. The number of patients was too small to make any conclusions regarding any correlation between MDVP, video-stroboscopic findings and voice quality.

Preoperative voice therapy was mainly offered to patients with vocal fold nodules, localized oedemas and small polyps. Professional voice users were in long-term pre- and post-operative voice therapy. Of the 89 patients with follow-up, 45 patients did not receive voice therapy and 41 of these (91%) reported a normal voice at the last follow-up. The remaining 44 patients had received post-operative voice therapy of whom 34 (77%) had obtained a normal voice at the last follow-up. These patients were mainly patients operated for vocal fold nodules and those with post-operative jitter, indicating phonastenia.

Smoking status was registered preoperatively in 94 patients (97%) with 69% being smokers and 24% smoking more than 20 cigarettes daily. Smoking status affected neither pre- nor post-operative voice quality or treatment outcome. Smokers benefitted as much from PS as non-smokers.

The average time from the first visit in the outpatient clinic to surgery was 3.7 months (range 0-11 months). The average post-operative follow-up time was 3.9 months with an average number of follow-up visits of 1.7.

Post-operative complications were rare. Among the 89 patients with follow-up, two experienced a temporarily reduced sensibility of the tongue. Other complications reported in single patients were: deeper voice, breathy voice, temporarily reduced power of the voice, soreness of the throat, intracordal haemorrhage, discomfort when swallowing and cough.

DISCUSSION

All but one patient had improved voice quality at the last follow-up after PS with normal voice in 85%. These results are in concordance with Zeitels et al [10], who prospectively investigated treatment outcomes in 185 singers who had undergone PS and vocal rehabilitation. A total of 182 patients (98%) reported voice improvement after surgery.

In our study, hoarseness could only be evaluated using a crude interpretation of the information available in the patient records as neither the voice handicap index (VHI) nor double visual analogue scale [5, 11] was not used in the period. Prospective and systematic recording of such data is required for a reliable evaluation of the voice outcome of treatment.

Video-laryngoscopy is used to assess the quality of vocal fold vibration and the effect of treatment [5, 11, 12]. In our study, video-stroboscopy was performed in 82 of the 89 patients (92%) seen for follow-up. We found a good correlation between normal video-stroboscopic findings and normal voice after surgery (Table 1), which supports that the crude interpretations of the degree of hoarseness were reliable.

The majority of our patients had vocal fold polyps. These were easily removed, frequently with instant post-operative normalization of the voice. The outcome was comparable for nodules and vocal fold edge oedemas.

Vocal fold cysts involve deeper layers of the vocal folds and may be associated with other pathological conditions such as a sulcus or mucosal bridges. As smaller cysts may be misinterpreted as polyps, they were included in the present study. The outcome for these patients was also favourable (Table 1) and was in accordance with Burns et al [6] except for the patient with a vocal fold sulcus on the contralateral vocal fold which was identified post-operatively. Associated pathological conditions should therefore be considered preoperatively in patients with vocal cysts.

Most authors agree that the optimal treatment of benign lesions of the larynx is complex and includes several factors such as good patient compliance, the surgical method applied and post-operative voice therapy [10, 12]. In our study, 46% of the patients were offered post-operative voice therapy. These patients were primarily professional voice users as other patients were only offered voice therapy if their voice was hoarse one month after surgery. Consequently, 54% of the patients did not receive post-operative voice therapy including those who were satisfied with their voices despite slight hoarseness. These findings may explain why voice therapy immediately after surgery has a high success rate. At the three-month follow-up, only four (9%) of the patients who did not receive voice therapy were hoarse. In the selected group of patients receiving voice therapy − including professional voice users and patients with persistent hoarseness, ten (23%) of the patients were still hoarse after three months.

In a study including ten patients with vocal fold nodules only treated with voice therapy, the nodules did not disappear but the surrounding oedema decreased in size and nine out of the ten patients were happy with their voice after therapy [13]. A Cochrane review assessing the effectiveness of surgery versus non-surgical interventions for vocal fold nodules concluded that there was a “need for high-quality, randomized, controlled trials to evaluate the effectiveness of surgical and non-surgical treatment of vocal cord nodules” [14]. To date, no such study has been performed. Therefore, randomized clinical trials to evaluate the role of voice therapy are required.

As the vast majority of patients had normal voices after three months, their visits could be terminated, which yielded a median follow-up period of 3.9 months, which is considerably shorter than in other studies [15]. We saw no influence of smoking on our results, but such influence should not be expected due to the short observation period. The majority of our patients experienced no post-operative complications. PS should therefore be considered a low-risk surgical intervention. In the present study, PS was performed using the operating microscope and direct laryngoscopy (microlaryngoscopy) in general anaesthesia, but the development of endoscopic surgery now allows for PS to be performed in local anaesthesia [1] which may prove a valuable alternative in the future.

CONCLUSION

PS is a quick and effective surgical procedure entailing only few complications. All but one patient in this study benefitted from surgery and 85% had a normal voice post-operatively. More than half of our patients received no voice therapy. Although only performed pre- and post-operatively in 20 patients, objective evaluation of voice quality using the MDVP showed significant improvement of jitter, shimmer and SPI. Prospective and systematic recording of assessment of the voice quality should be mandatory pre- and post-operatively, and the role of voice therapy in the treatment of vocal fold polyps, nodules and cysts should be evaluated through randomized, controlled trials.

Correspondence: Jane Bjerg Jensen, Biomedicinsk Institut, Københavns Universitet, 2200 Copenhagen N, Denmark. E-mail: janebjen@sund.ku.dk

Accepted: 3 December 2012

Conflicts of interest:none. Disclosure forms provided by the authors are available with the full text of this article at www.danmedj.dk.

Sidebar placering
Venstrestillet
Billede
Sidebar placering
Venstrestillet
Sidebar placering
Venstrestillet
Billede
Sidebar placering
Venstrestillet
Sidebar placering
Venstrestillet
Billede
Sidebar placering
Venstrestillet
Article type
Journal
Magazine
References
  1. Friedrich G, Remacle M, Birchall M et al. Defining phonosurgery: a proposal for classification and nomenclature by the Phonosurgery Committee of the European Laryngological Society (ELS). Eur Arch Otorhinolaryngol 2007;264:1191-200.

  2. Marcotullio D, Magliulo G, Pietrunti S et al. Exudative laryngeal diseases of Reinke’s space: a clinicohistopathological framing. The Journal of otolaryngology 2002;31:376-80.

  3. Hantzakos A, Remacle M, Dikkers FG et al. Exudative lesions of Reinke’s space: a terminology proposal. Eur Arch Otorhinolaryngol 2009;266:869-78.

  4. Jiang J, Stern J, Chen HJ et al. Vocal efficiency measurements in subjects with vocal polyps and nodules: a preliminary report. The Annals of otology, rhinology, and laryngology 2004;113:277-82.

  5. Johns MM. Update on the etiology, diagnosis, and treatment of vocal fold nodules, polyps, and cysts. Current opinion in otolaryngology & head and neck surgery 2003; 11:456-61.

  6. Burns JA, Hillman RE, Stadelman-Cohen T et al. Phonomicrosurgical treatment of intracordal vocal-fold cysts in singers. The Laryngoscope 2009;119:419-22.

  7. Roussel NC, Lobdell M. The clinical utility of the Soft Phonation Index. Clinical linguistics & phonetics 2006;20:181-6.

  8. Jiang JJ, Zhang Y, MacCallum J et al. Objective acoustic analysis of pathological voices from patients with vocal nodules and polyps. Folia Phoniatr Logop 2009;61:342-9.

  9. Petrovic-Lazic M, Babac S, Vukovic M et al. Acoustic voice analysis of patients with vocal fold polyp. Journal of voice : official journal of the Voice Foundation 2011;25:94-7.

  10. Zeitels SM, Hillman RE, Desloge R et al. Phonomicrosurgery in singers and performing artists: treatment outcomes, management theories, and future directions. The Annals of otology, rhinology & laryngology; 190:21-40.

  11. Dejonckere PH, Bradley P, Clemente P et al. A basic protocol for functional assessment of voice pathology, especially for investigating the efficacy of (phonosurgical) treatments and evaluating new assessment techniques. Guideline elaborated by the Committee on Phoniatrics of the European Laryngological Society (ELS). Eur Arch Otorhinolaryngol 2001;258:77-82.

  12. Geyer M, Ledda GP, Tan N et al. Carbon dioxide laser-assisted phonosurgery for benign glottic lesions. Eur Arch Otorhinolaryngol 2010;267:87-93.

  13. Holmberg EB, Hillman RE, Hammarberg B et al. Efficacy of a behaviorally based voice therapy protocol for vocal nodules. Journal of Voice: Official Journal of the Voice Foundation 2001;15:395-412.

  14. Pedersen M, McGlashan J. Surgical versus non-surgical interventions for vocal cord nodules. Cochrane Database Syst Rev 2001;CD001934.

  15. Cohen SM, Garrett CG. Utility of voice therapy in the management of vocal fold polyps and cysts. Otolaryngology head and neck surgery: official journal of American Academy of Otolaryngology-Head and Neck Surgery 2007;136:742-6.

Woodwing Id
1
Fil
Conflict of interest
Authors workplaces
1) Department of Biomedical Sciences, University of Copenhagen2) Department of Otolaryngology, Rigshospitalet
Bib ref
Dan Med J 2013;60(2):A4577
Article number
A4577
Authors

Jane Bjerg Jensen1 & Niels Rasmussen2

0 likes