Medlem i

12 years 10 months
Indholdselementer
ABSTRACT

INTRODUCTION. Our aim was to conduct a follow-up of a cohort of women screened for GDM with a normal oral glucose tolerance test (OGTT) during pregnancy to investigate the incidence and time of diagnosis of manifest diabetes mellitus and identify risk factors for subsequent development of diabetes.

METHODS. This was a follow-up study of a cohort with normal and borderline OGTT in 1991/1992. Among the original 352 women, only five were lost to follow-up.

RESULTS. In total, 64 women (18%) had manifest diabetes. Their median age was 57 years after 28 years of follow-up. This amounts to three times the expected rate compared with the background population. The rate of manifest diabetes rises 10-20 years after pregnancy and after the age of 40 years. A normal fasting glucose and also a borderline fasting glucose at OGTT during pregnancy were associated with an increased risk of manifest diabetes (p < 0.001), also after adjustment for age, Body Mass Index, non-Danish origin and smoking during pregnancy (p < 0.002).

CONCLUSION. The incidence of diabetes is higher in women with various risk factors for DM and a previously normal OGTT in pregnancy than in the background population. Our results are useful in identifying the time during which women may benefit from effective implementation of evidence-based treatment to postpone and avert manifest DM, even though they had a normal OGTT during pregnancy.

FUNDING. none.

TRIAL REGISTRATION. The trial was registered with the the Regional Ethics Committee and the Data Protection Agency, nos. 2014-41-3433, 1-16-02-824-17 (under running permission no. 621549), 1-16-02-825-17, and 1-16-02-180-17, all under the cover of data handling agreement no. 509 with the Danish Health Authority.

Ombryd tekst
0
Brødtekst

INTRODUCTION. Our aim was to conduct a follow-up of a cohort of women screened for GDM with a normal oral glucose tolerance test (OGTT) during pregnancy to investigate the incidence and time of diagnosis of manifest diabetes mellitus and identify risk factors for subsequent development of diabetes.

METHODS. This was a follow-up study of a cohort with normal and borderline OGTT in 1991/1992. Among the original 352 women, only five were lost to follow-up.

RESULTS. In total, 64 women (18%) had manifest diabetes. Their median age was 57 years after 28 years of follow-up. This amounts to three times the expected rate compared with the background population. The rate of manifest diabetes rises 10-20 years after pregnancy and after the age of 40 years. A normal fasting glucose and also a borderline fasting glucose at OGTT during pregnancy were associated with an increased risk of manifest diabetes (p < 0.001), also after adjustment for age, Body Mass Index, non-Danish origin and smoking during pregnancy (p < 0.002).

CONCLUSION. The incidence of diabetes is higher in women with various risk factors for DM and a previously normal OGTT in pregnancy than in the background population. Our results are useful in identifying the time during which women may benefit from effective implementation of evidence-based treatment to postpone and avert manifest DM, even though they had a normal OGTT during pregnancy.

FUNDING. none.

TRIAL REGISTRATION. The trial was registered with the the Regional Ethics Committee and the Data Protection Agency, nos. 2014-41-3433, 1-16-02-824-17 (under running permission no. 621549), 1-16-02-825-17, and 1-16-02-180-17, all under the cover of data handling agreement no. 509 with the Danish Health Authority.

The prevalence of gestational diabetes mellitus (GDM) falls in the 2-22% range worldwide depending on the population and type of diagnostic test performed. As the condition progresses, these women are at risk of impaired glucose tolerance, metabolic syndrome and manifest diabetes mellitus (DM) [1-3]. However, most women are not diagnosed with GDM and their risk of DM later in life depends on weight gain, concomitant dyslipidaemia, tobacco use, physical inactivity and dietary habits. The impact on the health system caused by this large group of women rises concomitantly with the global BMI increase. The diagnostic work-up and potential prevention efforts would benefit from knowing the best time to intervene and from identificaiton of risk factors that predispose to DM in these women.

Major randomised trials with lifestyle interventions faced major implementation challenges with respect to preventing DM postpartum due to a low participation rate, programmes that lacked evidence-based guidelines for modification and motivation of populations without DM and very limited knowledge of the risk of later onset of DM in low-to-medium-risk populations [4-10]. Data are lacking on the proper time for enrollment in such interventions, and it remains unknown if an effective intervention exists provided an optimal time is ascertained, and at what participation rate these interventions are cost effective [8]. To balance the costs of such programmes, the magnitude and timing of potential DM need to be outlined and updated.

The aim of this study was to follow up on a cohort of women with a normal oral glucose tolerance test (OGTT) during pregnancy who had various risk factors for DM that motivated their initial screening. Hereby, we gained information on prevalence, timing and type of DM manifestation later in life in relation to their risk factors early in life.

METHODS

A follow-up was performed in 2021 on a cohort of women who had an OGTT in 1991/1992. In total, 352 women had a normal OGTT result of whom five were lost to follow-up due to emigration with no data recorded. The screening indications were maternal pre-pregnancy BMI ≥ 27 kg/m2, a family disposition of DM, previous GDM, multiple pregnancy, previous macrosomia (birthweight ≥ 4,500 g), stillbirths and glucosuria. The OGTT was performed with seven point measurements with the diagnostic threshold values of 6.4 mmol/l (fasting), 13.6 mmol/l (30 min.), 13.7 mmol/l (60 min.), 11 mmol/l (90 min.), 10.2 mmol/l (120 min.), 9.7 mmol/l (150 min.) and 8.5 mmol/l (180 min.). GDM was diagnosed if two capillary plasma glucose values exceeded the thresholds. The OGTT was performed early in the second trimester and was then repeated in week 28-32. The women were divided into two groups; a normal and a borderline OGTT group; the latter was characterised as borderline if only one value exceeded the threshold at any time.

Hospital data were collected on the 352 women in 1991/1992 from the hospital charts together with laboratory data. At the follow-up, the hospital and laboratory charts were reviewed; reviews included medications and prescriptions concerning current or previous use together with their date of commencement. The chart data recirded by the women’s general practitioner (GP) were not reviewed, but we were able to follow-up on prescriptions issued by the GP. In women with no DM, the most recent glucose evaluation was registered and, for those with DM at follow-up, the date and values at their diagnosis were used. Birthweight ratio was calculated by dividing the observed birthweight by the expected birthweight for the gestational age and gender. The ponderal index was calculated as birthweight/length3.

In the more recent follow-up on the 347 women, the electronic charts were studied for all glucose measurements available and information from the national prescription registry, which is updated daily and contains information on current and previous prescriptions. Seven had died and three had emigrated since delivery. Positive diabetes status was ascertained in the ten women; two had been diagnosed with type 2 diabetes (T2DM), none of the other eight had abnormal glucose values or had any prescription of anti-diabetes drugs. Their status was locked to the last known date, which was either the date of death or the date of emigration. We categorised a woman as having manifest DM if her fasting glucose was > 7.0 mmol/l, 2-h OGTT value ≥ 11.1 mmol/l, HbA1c ≥ 48 mmol/mol (International Federation of Clinical Chemistry) or former levels 6.5% (Diabetes Control and Complications Trial).

Statistical analysis

To test for difference between two variable means, the Student’s t-test was applied provided data followed a Gaussian distribution. Otherwise, the Mann-Whitney’s U-test was used. Proportions were tested by the χ2 test, and 95% confidence intervals were calculated. The continuous variables of age, glucose at OGTT (fasting and 2-h glucose) and follow-up time were subjected to Kaplan-Meier analysis with the OGTT result (normal/borderline) and DM diagnosis after pregnancy as the group variable. The log-rank test was applied for significance testing. Cox regression analysis was performed on the outcome of manifest DM with age, BMI, smoking and parity as continuous covariates and the categorical variables of OGTT result (normal/borderline), screening indications and non-Danish origin. Data are given as mean ± standard deviation (SD) if they followed a Gaussian distribution. Otherwise, median (range) are indicated. A two-sided p value of < 0.05 was chosen as the level of significance.

Trial registration: The trial was registered with the Regional Ethics Committee and with the Danish Data Protection Agency, nos. 2014-41-3433, 1-16-02-824-17 (under running permission no. 621549), 1-16-02-825-17 and 1-16-02-180-17, all under the cover of data handling agreement no. 509 with the Danish Health Authority.

RESULTS

Among the original 352 women for whom obstetrical data were collected, we managed to follow up on medicine prescriptions, blood samples and diagnosis in 347 women. A borderline OGTT was found in 74 women during pregnancy, and we could aggregate data on 73 (99%) of these women. The remaining 278 women had a normal OGTT during pregnancy and 274 (99%) were followed up. The initial data showed that the women with borderline OGTT were shorter (Table 1). Besides these anthropometrics, no difference was found in the screening indications, basal characteristics and obstetric outcome except that the borderline women had their last OGTT later in their pregnancy and that a higher fasting glucose was recorded than in the women with a normal OGTT (Table 2). The women who were screened due to GDM in a previous pregnancy (n = 19) had a similar risk of subsequent DM, at a similar age (p = 0.66) and at a similar number of follow-up years (p = 0.6) as the women with a history of GDM. In 8% of the women, no further OGTT was performed after week 22 (Table 2).

Sidebar placering
Venstrestillet
Billede
Table 1
Caption
Table 1
Sidebar placering
Venstrestillet
Billede
Table 2
Caption
Table 2
Sidebar placering
Venstrestillet

We found that 18% of the women had DM, diagnosed at a median age of 50 years (33-66 years) (Table 3). They were more likely than other women to have other endocrine and cardiovascular disorders (women with manifest DM versus other women, p < 0.01); nearly 20% of those with manifest DM had concomitant thyroid disease and 75% had hypercholesterolaemia and cardiovascular disorders.

Sidebar placering
Venstrestillet
Billede
Table 3
Caption
Table 3
Sidebar placering
Venstrestillet

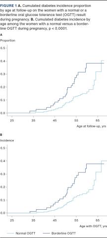
Women with borderline OGTT developed DM faster after pregnancy and at an earlier age than women with a normal OGTT (Figure 1, p < 0.0001). Twenty percent of the women with borderline OGTT had DM within 22 years after their pregnancy, at 50 years of age (Figure 1). The cumulated incidence of DM tripled in women with a normal OGTT from age 50 to 60 years. Similarly, in women with a normal OGTT, 15% had DM 28 years after pregnancy and 20% at 61 years of age. In the regression analysis, fasting glucose at the last OGTT during pregnancy stayed associated with developing manifest DM (p < 0.001); even after adjusting for age, height, smoking, parity, ethnicity and various screening indications (p < 0.002).

Sidebar placering
Venstrestillet
Billede
Figure 1
Caption
Figure 1
Sidebar placering
Venstrestillet

DISCUSSION

Our main result was that nearly one in five of women with various risk factors for DM and a normal OGTT in pregnancy were diagnosed with manifest DM. This is more than three times the expected 6% rate registered in the Danish population at 60 years of age [11]. At 50 years of age, 4% of Danish women have T2DM, so the rate increased by 50% during this time span and the total prevalence tripled during the 20 years from 1996 to 2017. As GDM was excluded during pregnancy, the high incidence may come as a surprise to these women. Furthermore, the projection for the younger women aged 50 years is a similar and possibly incidence of future DM as observed in the initial 20-year period [11]. A similar follow-up study with a follow-up period of ten years found that almost 6% had progressed to T2DM in women in whom GDM was excluded [12]. When extrapolated further upwards to nearly 30 years, this result matches our incidence. In contrast, another long-term study with 23 years of follow-up in Finland only diagnosed T2DM in 5.5% of women after normal pregnancy [13]. An Iranian study with 15 years of follow-up found a yearly progression rate of 0.4% with a mean age at follow-up of 36 years. This translates into 12% after 30 years when women were in their mid- to late-forties [14].

The authors found that family history and BMI were significant risk factors when repeatedly checking up on the women. The only significant hint as to what may lie behind this is that fasting glucose maintained a strong association with later development of DM after adjusting for covariates, which is similar to our findings. However, and also similar to our studies, a family history and a higher BMI will establish the basis for a future risk of DM. Another important caveat when comparing is, of course, the different ethnicities and DM prevalences in the discussed studies [12-14]. The point is that even in a Scandinavian population with a low incidence of T2DM, the incidence of manifest DM is remarkably high and not a rare outcome when classic risk factors such as obesity are present.

We find that our high incidence rate of DM is an overlooked issue; nevertheless, the rate was validated in the registries ascertaining the diagnosis [11]. Our long-term follow-up is resonated in recent systematic reviews and meta-analysis that point to the length studies; even shorter studies (< 5 years) of DM after GDM showed higher rates shortly after pregnancy than those found in studies with a longer follow-up. The challenge with late debut is to look for DM after normo-glycaemic pregnancies, which was the aim of this study [15].

The number of pathological OGTT threshold values also affects the development of DM. The probability of remaining free of DM decreases linearly even with one pathological value when people are followed for more than 15 years [13]. In our study, one single abnormal value (i.e. borderline OGTT) increased the risk of DM profoundly together with known risk factors when looking at DM after pregnancy with risk factors for DM and differentiating by borderline OGTT. Herath et al. showed that age > 30 years and a neonatal weight > 3.5 kg increased the risk of subsequent DM, whereas family history, previous GDM or parity did not [12]. Abnormal fasting glucose, which is suggestive of a beta cell dysfunction, was associated with a high risk of subsequently being diagnosed with T2DM, similar to our findings [13]. However, early testing by fasting glucose has the strongest predictive value and not necessarily with diagnosed GDM. This may help explain why some of these apparently normal women but with risk factors for DM were subsequently diagnosed with DM [13] (Table 2). The other morbidities present at the follow-up point are a potential concern of the endocrine health in these women.

The major strengths of this study are a long follow-up and a low number of missed cases, which reduces detection bias in a low-to-medium-risk population. Correspondingly, studies with a shorter follow-up period show higher incidences after normal pregnancies [12]. We cannot rule out that a certain diagnostic delay has occurred, either in registration or diagnostic work-up as our results depend on the electronic medical charts and registries with no patient contact. Additionally, our primary selection of women for the cohort may potentially have been affected by several factors. The delivery rate in the years 1990/1991 was 6,000, and 406 women (6.8%) were screened due to a risk for diabetes. This resulted in a GDM rate of only 0.9%, which is low by current standards. This is, in part, due to the different diagnostic criteria and fewer risk factors 30 years ago as the most important factor for screening is body weight.

We assume that changing the diagnostic criteria would entail diagnosis of more women with GDM from the 1991 borderline and normal OGTT group, which, in turn would dilute and decrease the proportion of DM in the follow-up, assuming that risk factors stayed the same. However, obesity rates have steadily increased in the few past decades, and 17% of adults in Denmark were obese in 2017 [16]. Obesity, thus, has more than doubled; up from 7.5 in 1994 and 13.4 in 2010 [17, 18]. This will also affect DM incidence rates as obesity increased during the follow-up period and added new risks, for which we have no data and, thus, cannot substantiate any associations. However, some scolars argue that in healthy individuals a certain overweight may not add any risk, but that notion cannot be substantiated as even metabolically healthy subjects will progress to suffering more from DM and cardiovascular disease once obesity is established [19].

We found that the age span from 50 to 60 years seems to be an important time for intervention, which is also corroborated by national data [11]. Hope to modify projections for future health challenges is found in the amelioration of DM and cardiovascular risk verified in the Danish National Birth Cohort and in Nurses’ Health Study II. This was achieved by lifestyle changes in terms of diet and exercise with weight control in women with previous GDM [20]. Similar effects may be expected in non-GDM women. Compared with the mega-trend of BMI increase in the Western world, other risk factors seem less important, including the diagnostic criteria, efficacy in the diagnostic work-up, breast feeding, smoking and life style changes. The issue of non-compliance within screening programmes is well-known, even today when screen-positive rates are 3-5 times higher than when the initial data for this study were recorded [1, 5, 9, 10, 12].

CONCLUSION

The incidence of DM is higher in women with a previously normal OGTT in pregnancy than in the background population. Our results are useful in identifying the time when women may benefit from effective implementation of evidence-based treatment to postpone and avert manifest DM, even though they had a normal OGTT during pregnancy.



Correspondence Finn Friis Lauszus. E-mail: ffl@dadlnet.dk
Accepted 3 November 2022
Conflicts of interest none. Disclosure forms provided by the authors are available with the article at ugeskriftet.dk/dmj
Cite this as Dan Med J 2022;69(12):A05220302

Sidebar placering
Venstrestillet
Article type
Journal
Magazine
References

References

  1. Jeppesen C, Maindal HT, Kristensen JK et al. National study of the prevalence of gestational diabetes mellitus among Danish women from 2004 to 2012. Scand J Pub Health. 2017;45(8):811-817. DOI: 10.1177/1403494817736943.

  2. Kim C, Newton KM, Knopp RH. Gestational diabetes and the incidence of type 2 diabetes: a systematic review. Diabetes Care. 2002;25(10):1862-8. DOI: 10.2337/diacare.25.10.1862.

  3. Kjos SL, Peters RK, Xiang A et al. Predicting future diabetes in Latino women with gestational diabetes. Utility of early postpartum glucose tolerance testing. Diabetes. 1995;44(5):586-91. DOI: 10.2337/diab.44.5.586.

  4. Dabelea D, Snell-Bergeon JK, Hartsfield CL et al. Increasing prevalence of gestational diabetes mellitus (GDM) over time and by birth cohort: Kaiser Permanente of Colorado GDM Screening Program. Diab Care. 2005;28(3):579-84. DOI: 10.2337/diacare.28.3.579.

  5. Knowler WC, Barrett-Connor E, Fowler SE et al. Reduction in the incidence of type 2 diabetes with lifestyle intervention or metformin. N Engl J Med. 2002;346(6):393-403. DOI:10.1056/NEJMoa012512.

  6. Tuomilehto J, Lindström J, Eriksson JG et al. Prevention of type 2 diabetes mellitus by changes in lifestyle among subjects with impaired glucose tolerance. N Engl J Med. 2001;344(18):1343-50. DOI: 10.1056/NEJM200105033441801.

  7. Benhalima K, Jegers K, Devlieger R et al. Glucose intolerance after a recent history of gestational diabetes based on the 2013 WHO criteria. PLoS One. 2016;11(6):e0157272. DOI: 10.1371/journal.pone.0157272.

  8. Vääräsmäki M. Is it worth treating gestational diabetes: if so, when and how? Diabetologia. 2016;59(7):1391-1395. DOI: 10.1007/s00125-016-3976-6.

  9. Ferrara A, Peng T, Kim C. Trends in postpartum diabetes screening and subsequent diabetes and impaired fasting glucose among women with histories of gestational diabetes mellitus: a report from the Translating Research Into Action for Diabetes (TRIAD) study. Diabetes Care. 2009;32(2):269-74. DOI: 10.2337/dc08-1184.

  10. Nielsen KK, Kapur A, Damm P et al. From screening to postpartum follow-up - the determinants and barriers for gestational diabetes mellitus (GDM) services, a systematic review. BMC Preg Childbirth. 2014;14:41.

  11. Carstensen B, Rønn PF, Jørgensen ME. Prevalence, incidence and mortality of type 1 and type 2 diabetes in Denmark 1996-2016. BMJ Open Diab Res Care. 2020;8(1):e001071. DOI: 10.1136/bmjdrc-2019-001071.

  12. Herath H, Herath R, Wickremasinghe R. Gestational diabetes mellitus and risk of type 2 diabetes 10 years after the index pregnancy in Sri Lankan women – a community based retrospective cohort study. PLoS One. 2017;23;12(6):e0179647. DOI: 10.1371/journal.pone.0179647.

  13. Auvinen AM, Luiro K, Jokelainen J et al. Type 1 and type 2 diabetes after gestational diabetes: a 23 year cohort study. Diabetologia. 2020;63(10):2123-2128. DOI: 10.1007/s00125-020-05215-3.

  14. Minooee S, Tehrani FR, Rahmati M et al. Diabetes incidence and influencing factors in women with and without gestational diabetes mellitus: a 15 year population-based follow-up cohort study. Diabetes Res Clin Pract. 2017;128:24-31. DOI: 10.1016/j.diabres.2017.04.003.

  15. Vounzoulaki E, Khunti K, Abner SC et al. Progression to type 2 diabetes in women with a known history of gestational diabetes: systematic review and meta-analysis. BMJ. 2020;13;369:m1361. DOI: 10.1136/bmj.m1361.

  16. State of health in the EU. Denmark. Country health profile 2017. www.euro.who.int/__data/assets/pdf_file/0009/355977/Health-Profile-Denmark-Eng.pdf (29 Aug 2022).

  17. Heitmann BL, Richelsen B, Hansen GL et al. Overvægt og fedme. www.sst.dk/-/media/Udgivelser/1999/Overvaegt-og-fedme.ashx (29 Aug 2022).

  18. Christensen AI, Ekholm O, Davidsen M et al. Sundhed og sygelighed i Danmark 2010. www.sdu.dk/da/sif/rapporter/2012/sundhed_og_sygelighed_i_danmark_2010 (29 Aug 2022).

  19. Navarro-González D, Sánchez-Íñigo L, Fernández-Montero A et al. Are all metabolically healthy individuals with obesity at the same risk of diabetes onset? Obesity (Silver Spring). 2016;24(12):2615-2623. DOI: 10.1002/oby.21667.

  20. Zhang C, Olsen SF, Hinkle SN et al. Diabetes & Women's Health (DWH) Study: an observational study of long-term health consequences of gestational diabetes, their determinants and underlying mechanisms in the USA and Denmark. BMJ Open. 2019;9(4):e025517. DOI: 10.1136/bmjopen-2018-025517.

Woodwing Id
89063
Fil
Conflict of interest
Authors workplaces

1) Department of Obstetrics/Gynaecology, Aabenraa Hospital, Sygehus Sønderjylland, 2) Department of General Surgery, Aabenraa Hospital, Sygehus Sønderjylland, Denmark

Dan Med J 2022;69(12):A05220302

Bib ref
Dan Med J 2022;69(12):A05220302
Article number
A05220302
Authors

Greta Dubietyte1, Finn Friis Lauszus1, Arense Vinding Gulbech1, Karsten Kaiser1 & Michael Festersen Nielsen2

0 likes