Medlem i

12 years 10 months
Indholdselementer
Abstract

INTRODUCTION: Childhood irritant contact dermatitis (ICD) is the most common cause for developing chronic hand eczema as an adult. The COVID-19 reopening in Denmark included regulations introducing frequent hand washing. The aim of the present study was to evaluate if frequent hand washing increases the incidence of ICD in children.

METHODS: We conducted an observational study in Denmark during the reopening of schools and daycare facilities for children aged 0-12 years (April 22nd to May 1st 2020). A questionnaire was sent out to parents in four municipalities consisting of 20 questions about frequency of hand washing, use of hand sanitiser, symptoms of ICD, atopic dermatitis, allergy and predispositions.

RESULTS: The study included 6,273 children. In children without any prior symptoms of dermatitis, 42.4% experienced ICD (dry, red and itchy skin) due to increased hand hygiene. Schoolchildren had a 1.5 times greater relative risk of developing ICD than preschool children. Frequency of hand washing was a strong risk factor, whereas this was not the case for alcohol-based hand sanitiser. Hand washing 7-10 times/day and >10 times/day increased the relative risk by 1.83 and 2.23 times, respectively.

CONCLUSIONS: A higher frequency of hand washing during the COVID-19 reopening increased the incidence of ICD in children. Hand hygiene is essential in our fight against novel coronavirus, but prophylactic initiatives are important to reduce the possible long-term consequences of ICD in children.

FUNDING: none

TRIAL REGISTRATION: Clinicaltrials.gov (NCT04375410).
.

Ombryd tekst
0
Brødtekst

INTRODUCTION: Childhood irritant contact dermatitis (ICD) is the most common cause for developing chronic hand eczema as an adult. The COVID-19 reopening in Denmark included regulations introducing frequent hand washing. The aim of the present study was to evaluate if frequent hand washing increases the incidence of ICD in children.

METHODS: We conducted an observational study in Denmark during the reopening of schools and daycare facilities for children aged 0-12 years (April 22nd to May 1st 2020). A questionnaire was sent out to parents in four municipalities consisting of 20 questions about frequency of hand washing, use of hand sanitiser, symptoms of ICD, atopic dermatitis, allergy and predispositions.

RESULTS: The study included 6,273 children. In children without any prior symptoms of dermatitis, 42.4% experienced ICD (dry, red and itchy skin) due to increased hand hygiene. Schoolchildren had a 1.5 times greater relative risk of developing ICD than preschool children. Frequency of hand washing was a strong risk factor, whereas this was not the case for alcohol-based hand sanitiser. Hand washing 7-10 times/day and >10 times/day increased the relative risk by 1.83 and 2.23 times, respectively.

CONCLUSIONS: A higher frequency of hand washing during the COVID-19 reopening increased the incidence of ICD in children. Hand hygiene is essential in our fight against novel coronavirus, but prophylactic initiatives are important to reduce the possible long-term consequences of ICD in children.

FUNDING: none

TRIAL REGISTRATION: Clinicaltrials.gov (NCT04375410).
.

Corona quarantine measures have resulted in a decline in the spread of novel coronavirus, which has facilitated the initiation of a controlled reopening in several countries. On April 15th 2020, Denmark became the first European country to reopen primary schools and daycare facilities for preschool and schoolchildren aged 0-12 years. The reopening included provisions introducing frequent hand washing. Within few days, general practitioners, paediatricians and dermatologists reported suspicion of an increased incidence of irritant contact dermatitis (ICD) in children.

Coronavirus is transmitted by inhalation of infected droplets or direct contact with soiled surfaces [1]. Hand washing and the use of alcohol-based hand sanitiser are an important defence against infectious diseases such as novel coronavirus [1]. In children, a common cause of ICD is frequent hand washing.

Corneocytes are the cells on the surface of the skin. Corneocytes have the ability to bind water providing almost all of the skin surface with moisture. Water binding involves corneocyte surface lipids [2, 3]. Soap and chemicals remove corneocyte surface lipids causing corneocyte disruption. This transepidermal water loss (TEWL) results in inflammation and skin barrier disruption and even further increased TEWL. Disruption of the skin barrier can cause itching, redness and swelling [4, 5].

Patients with a personal or family history of atopic dermatitis have a chronically dysfunctional cutaneous barrier that increases their sensitivity to skin irritants [5, 6]. Treatment with moisturisers are essential to restore water and lipids to the skin surface [7].

Childhood hand eczema and atopic dermatitis along with wet work is considered the most important risk factors for developing chronic hand eczema as an adult [8]. In the general population, the point prevalence of hand eczema was reported to be approx. 4% and the one-year prevalence nearly 10%, whereas the lifetime prevalence reached 15% [9]. Hand eczema in adults has been shown to have unfavourable psychosocial and occupational consequences [10]. In adults with hand eczema, 5% have experienced far-reaching consequences including extended sick-leave periods, sick pension and changes of occupation [10].

The aim of the present study was to evaluate if frequent hand washing during the COVID-19 reopening increased the incidence of irritant contact dermatitis in children. By elucidating this subject, we hope to bring awareness to this growing problem in order to avoid acute as well as chronic consequences such as the development of chronic hand eczema in adulthood.

METHODS

Denmark opened up daycare facilities and public schools for children aged 0-12 years on April15th 2020. We conducted an observational study in Denmark during the second week after the reopening of schools and daycare facilities ( April 22nd to May 1st 2020).

The legal department of the North Denmark Region approved the study prior to initiation. The study was registered with Clinicaltrials.gov (NCT04375410). Ethical approval was not required.

An electronic questionnaire (REDCap) was sent out to parents of children who returned to school or daycare after the COVID-19 reopening in four Danish municipalities (Aalborg, Hjoerring, Rebild and Skanderborg). Preschool children were children in daycare facilities aged 0-5 years, whereas schoolchildren denoted children aged 6-12 years in preschool class until the 5th grade. The four municipalities represent larger cities as well as rural areas.

The questionnaire consisted of 20 questions about the frequency of hand washing and use of hand sanitiser, symptoms of ICD (Does your child currently experience dry hands? Does your child currently experience red hands? Does your child currently experience itchy hands?), atopic dermatitis, allergy and predispositions. The questionnaire was sent out once without any reminders because, in this study, we considered ICD an acute disorder and wanted to avoid recall bias. Questionnaires in which the age of the child was not identifiable by birth data registration or by class level were excluded. Moreover, children were excluded if there were missing data regarding one or more of the following parameters: gender, allergy, history of eczema, allergy or eczema among parents, number of daily hand washings or number of daily hand disinfections. Regarding hand washing frequency, the answer options were 0-3, 4-6, 7-10, or more than ten times per day. In our questionnaires, we found it necessary to divide the frequency of hand washing into 0-3 and 4-6 times in order to document how often the children washed their hands. In accordance with previous research, we considered a hand washing frequency of 0-6 times per day as the reference for pre-COVID-19 hand hygiene behaviour, and expected only a minor number of children to report infrequent hand washing (0-3 times per day) [11]. Thus, we pooled the number of children who washed their hands 0-3 and 4-6 times in our statistical analysis.

Statistical analysis

Distributions were described by means and standard deviation (SD) for continuous variables and number and percentage for categorical variables. Comparisons were done by unpaired t-test for continuous variables and by Fischer’s exact test for categorical variables. Relative risks were estimated by modified Poisson regression with robust error variance [12]. These analyses were supplemented by test for trend. A value of p < 0.05 was considered statistically significant. Stata/MP 15 (Stata Corporation, College Station, TX, USA) was used for all calculations.

Trial registration: Clinicaltrials.gov (NCT04375410).

RESULTS

The parents of 6,454 children answered the questionnaire. Among these, 181 had incomplete questionnaires and were excluded, leaving a study population of 6,273 children for further analysis. In total, we included 49.4% girls and 50.6% boys with a mean age of 6.70 3.12 years (Table 1).

Sidebar placering
Venstrestillet
Billede
Sidebar placering
Venstrestillet

In children without any prior symptoms of ICD, as many as 42.4% (N = 4,496) developed ICD (dry, red and itchy skin) due to increased hand hygiene after the COVID-19 reopening (Table 1). Female gender was a risk factor for developing ICD with a relative risk of 1.13 (Table 2). Furthermore, schoolchildren had a relative risk of 1.5 for developing ICD when compared with preschool children.

Sidebar placering
Venstrestillet
Billede
…….hf jksaf fdsafs f sf dsafds fds
Caption
…….hf jksaf fdsafs f sf dsafds fds
Sidebar placering
Venstrestillet

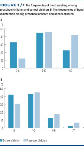
When addressing hand-washing frequency, we found a very low proportion of children who washed their hands 0-3 times/day (2.2%, N = 144), the overwhelming majority of whom were younger than two years of age. Hand washing and hand disinfection habits were different between preschool children and schoolchildren (Figure 1). A higher percentage of schoolchildren washed their hands > 10 times/day compared with preschool children, and schoolchildren used hand sanitiser more often than preschool children. The frequency of hand washing was a strong risk factor for ICD (Table 2). Hand washing 7-10 times/day and > 10 times/day increased the risk by 1.83 and 2.23 times, respectively, relative to 0-6 hand washings/day.

Sidebar placering
Venstrestillet
Billede
Sidebar placering
Venstrestillet

Preschool children were at a higher risk of developing ICD by excessive hand washing (> 10 hand washings/day, compared with 0-6 hand washings/day) than schoolchildren, with a relative risks of 2.90 and 1.40 for preschool children and schoolchildren, respectively (Table 3).

Sidebar placering
Venstrestillet
Billede
Sidebar placering
Venstrestillet

Hand sanitiser use was far less likely to cause ICD. Only if a child used hand sanitiser > 7 times/day, this led to an increased relative risk = 1.2 times (Table 2). When subdividing the cohort into schoolchildren and preschool children, it became evident that the risk of ICD did not increase with increased hand disinfection (Table 3).

Comorbid allergy, atopic dermatitis and parental predispositions did not increase the risk of developing ICD (Table 2).

DISCUSSION

Compared with the adult population, only a small number of cases with novel coronavirus as well as coronavirus disease (COVID-19) has been described in children [13, 14]. Additionally, most children presented with mild disease, and severe and critical cases were mainly diagnosed in patients with coexisting conditions [14]. Furthermore, a relatively high number of asymptomatic latent cases has been reported within the paediatric population. This knowledge has led to the assumption that children are an important link in the transmission chain [15]. Moreover, studies have documented the presence of coronavirus RNA in faeces. Thus, it has been speculated that novel coronavirus may be transferred by faecal-oral transmission and that children might serve as a reservoir for this virus [16]. Knowledge that novel coronavirus is transmitted by inhalation of infected droplets, direct contact with soiled surfaces and also possibly faecal-oral transmission stresses the fact that hand hygiene is extremely important in order to stop the spread of this virus.

To our knowledge, this is the first study to document an increase in irritant contact dermatitis in children due to increased frequency of hand washing during the COVID-19 reopening.

In our population, we documented that as many as 42.4% of the children experienced all three symptoms of ICD (dry, red and itchy skin) due to increased hand hygiene. In this cohort, hand washing was the most important predictive factor for developing ICD. This finding is in line with previous studies [2, 3].

Surprisingly, schoolchildren had a higher incidence of irritant contact dermatitis than children in daycare facilities. We speculated if this finding may be due to the fact that school children have a higher compliance to hand hygiene recommendations [17]. This speculation was supported by looking at preschool children who washed their hands >10 times per day. In this group of children, we found a higher risk of developing ICD than among schoolchildren who washed hands with the same frequency (> 10 times per day), possibly indicating more sensitive skin among the younger children. We also found that a frequency of hand washing of 0-3 times per day was mainly documented among the youngest children in our cohort. This is unsurprising since these children possibly do not wash hands when having their diaper changed. Hence, the low frequency of hand washing in this group of children protects them from developing ICD.

The use of hand sanitiser only leads to a minor risk of ICD and no increased risk in the group of schoolchildren. This finding is in accordance with previous studies in patients with ICD and invites a speculation of a possible advantageous effect of partly replacing hand washing by hand disinfection.

It is important to consider that the diagnosis of ICD is based on clinical findings in children with a history of frequent hand washing. The results presented in this study are based on questionnaires without concomitant clinical examination by a dermatologist, and this may potentially raise doubts about the diagnosis. However, self-reported hand eczema was found to be valid for diagnosis in previous studies [18, 19].

It may be questioned if the included sample of children represents the general Danish paediatric population. A degree of selection bias cannot be ruled out completely. However, several parameters point to the cohort being representative of Danish children in general. The children included in this study had a normally distributed age spread. The gender distribution was identical to that of the Danish population with 50.6% boys and 49.4% girls. Furthermore, the children came from cities as well as rural areas.

The overall response rate to our questionnaires was 25.7% (with a preschool and schoolchildren response rate of 22.4% and 29.3%, respectively). Out of the total number (n = 6,273) of responders, 22.2% (n = 1,334) had a history of atopic dermatitis. This is a slightly higher percentage than the previously reported prevalence of up to 20% suffering from atopic dermatitis in the general paediatric population [20].

The research question asked concerning the acute effect of the COVID-19 reopening of society did not allow us to send out reminders to improve the questionnaire completion rate; and in the light hereof, the response rate is considered acceptable. The fact that approximately 58% of the 6,273 participants did not present with any symptoms of ICD also indicates a generally high grade of willingness to participate independently of symptoms.

In general, a family history of eczema and atopic dermatitis would be expected to increase the risk of developing ICD. However, this was not the case in relation to the effect of COVID-19 hand-hygiene-induced ICD. In contrast, eczema disposition as well as atopic dermatitis seemed to have a protective effect against development of ICD in this situation. This finding may partly be explained by the fact that this study focused on newly developed ICD. However, this might also reflect a greater awareness about skin irritants as well as prophylactic measures for ICD among parents who suffer from eczema or have children with atopic dermatitis. These parents may also have treated their children more rapidly with hand moisturisers. However, the present study is not able to clarify this hypothesis.

Future studies should evaluate whether ICD could be avoided if COVID-19-related hand hygiene recommendations are amended to include use of moisturisers and replacement of some hand washings with use of hand sanitizers.

Furthermore, it is of importance to address whether the high incidence of ICD in children seen during the COVID-19 reopening initiatives is an acute problem that will pass or if the ICD prevalence will be persistently increased in post-COVID-19 societies, and whether these children will develop chronic hand eczema in adulthood.

CONCLUSIONS

A higher frequency of hand washing during the COVID-19 reopening increased the incidence of ICD in children. Hand hygiene is essential in our fight against novel coronavirus. However, identifying and preventing risk factors may possibly reduce the acute as well as the long-term consequences of ICD. Frequent use of hand sanitiser seems to be associated with a minor risk for developing ICD than frequent hand washing. Therefore, recommendations may consider replacing some of the hand washing with the use of hand sanitiser. It is also highly important that hand hygiene guidelines includes prophylactic recommendations for ICD such as the use of hand moisturisers.



Correspondence: Luise Borch, E-mail: luise.borch@rm.dk
Accepted: 29 July 2020
Conflicts of interest: none. Disclosure forms provided by the authors are available with the full text of this article at Ugeskriftet.dk/dmj
Acknowledgements: The authors wish to extend their gratitude to Lisbeth Kruse, who provided expert advice on the questionnaire and to the four Danish municipalities for great cooperation during this study.

Sidebar placering
Venstrestillet
Article type
Journal
Magazine
References

Literature

  1. Otter JA, Donskey C, Yezli S, et al. Transmission of SARS and MERS coronaviruses and influenza virus in healthcare settings: the possible role of dry surface contamination. J Hosp Infect 2016;92:235-50. https://doi.org/10.1016/j.jhin.2015.08.027.

  2. Callahan A, Baron E, Fekedulegn D, et al. Winter season, frequent hand washing, and irritant patch test reactions to detergents are associated with hand dermatitis in healthcare workers. Dermat Contact Atopic Occup Drug Off J Am Contact Dermat Soc North Am Contact Dermat Group 2013;24:170-5. https://doi.org/10.1097/DER.0b013e318290c57f.

  3. Abe T. Studies on skin surface barrier functions. Transepidermal water loss and skin surface lipids during childhood. Chem Pharm Bull (Tokyo) 1978;26:1659-65. https://doi.org/10.1248/cpb.26.1659.

  4. Singh M, Pawar M, Bothra A, et al. Overzealous hand hygiene during COVID 19 pandemic causing increased incidence of hand eczema among general population. J Am Acad Dermatol 2020. https://doi.org/10.1016/j.jaad.2020.04.047.

  5. Hamming I, Timens W, Bulthuis M, et al. Tissue distribution of ACE2 protein, the functional receptor for SARS coronavirus. A first step in understanding SARS pathogenesis. J Pathol 2004;203:631-7. https://doi.org/10.1002/path.1570.

  6. Cavanagh G, Wambier CG. Rational hand hygiene during the coronavirus 2019 (COVID-19) pandemic. J Am Acad Dermatol 2020. https://doi.org/10.1016/j.jaad.2020.03.090.

  7. Lodén M. Role of topical emollients and moisturizers in the treatment of dry skin barrier disorders. Am J Clin Dermatol 2003;4:771-88. https://doi.org/10.2165/00128071-200304110-00005.

  8. Mortz CG, Bindslev-Jensen C, Andersen KE. Hand eczema in The Odense Adolescence Cohort Study on Atopic Diseases and Dermatitis (TOACS): prevalence, incidence and risk factors from adolescence to adulthood. Br J Dermatol 2014;171:313–23. https://doi.org/10.1111/bjd.12963.

  9. Thyssen JP, Johansen JD, Linneberg A, et al. The epidemiology of hand eczema in the general population--prevalence and main findings. Contact Dermatitis 2010;62:75-87. https://doi.org/10.1111/j.1600-0536.2009.01669.x.

  10. Meding B, Wrangsjö K, Järvholm B. Fifteen-year follow-up of hand eczema: persistence and consequences. Br J Dermatol 2005;152:975-80. https://doi.org/10.1111/j.1365-2133.2005.06494.x.

  11. van Beeck AHE, Zomer TP, van Beeck EF, et al. Children’s hand hygiene behaviour and available facilities: an observational study in Dutch day care centres. Eur J Public Health 2016;26:297-300. https://doi.org/10.1093/eurpub/ckv228.

  12. Zou G. A modified poisson regression approach to prospective studies with binary data. Am J Epidemiol 2004;159:702-6. https://doi.org/10.1093/aje/kwh090.

  13. Liu W, Zhang Q, Chen J, et al. Detection of Covid-19 in children in early January 2020 in Wuhan, China. N Engl J Med 2020;382:1370-1. https://doi.org/10.1056/NEJMc2003717.

  14. Parri N, Lenge M, Buonsenso D, Coronavirus Infection in Pediatric Emergency Departments (CONFIDENCE) Research Group. Children with Covid-19 in pediatric emergency departments in Italy. N Engl J Med 2020 Jul 9;383(2):187-190 . https://doi.org/10.1056/NEJMc2007617.

  15. Kelvin AA, Halperin S. COVID-19 in children: the link in the transmission chain. Lancet Infect Dis 2020 Jun;20(6):633-634 .https://doi.org/10.1016/S1473-3099(20)30236-X.

  16. Yeo C, Kaushal S, Yeo D. Enteric involvement of coronaviruses: is faecal–oral transmission of SARS-CoV-2 possible? Lancet Gastroenterol Hepatol 2020;5:335-7. https://doi.org/10.1016/S2468-1253(20)30048-0.

  17. Chen X, Ran L, Liu Q, et al. Hand hygiene, mask-wearing behaviors and its associated factors during the COVID-19 epidemic: a cross-sectional study among primary school students in Wuhan, China. Int J Environ Res Public Health 2020 Apr 22;17(8):2893 .https://doi.org/10.3390/ijerph17082893.

  18. Anveden I, Lidén C, Alderling M, et al. Self-reported skin exposure – validation of questions by observation. Contact Dermatitis 2006;55:186-91. https://doi.org/10.1111/j.1600-0536.2006.00907.x.

  19. Meding B, Barregård L. Validity of self-reports of hand eczema. Contact Dermatitis 2001;45:99-103. https://doi.org/10.1034/j.1600-0536.2001.045002099.x.

  20. Nutten S. Atopic dermatitis: global epidemiology and risk factors. Ann Nutr Metab 2015;66 Suppl 1:8-16. https://doi.org/10.1159/000370220.

Woodwing Id
27845
Fil
Conflict of interest
Authors workplaces

1) Paediatric Department, Hospitalsenheden Vest, Herning, 2) Paediatric Department, Aalborg University Hospital, 3) Paediatric Department, North Denmark Regional Hospital, 4) Dermatological Department, Aalborg University Hospital, 5) Unit of Clinical Biostatistics, Department of Clinical Medicine, Aalborg University Hospital, Denmark

Dan Med J 2020;67(9):A05200357

Bib ref
Dan Med J 2020;67(9):A05200357
Article number
A05200357
Authors

Luise Borch1), Kristina Thorsteinsson2), Tine Caroc Warner3), Carsten Sauer Mikkelsen4), Peter Bjerring4), Søren Lundbye-Christensen5), Kristian Arvesen4) & Søren Hagstroem2)

0 likes